Официальное опубликование правовых актов
ОФИЦИАЛЬНОЕ ОПУБЛИКОВАНИЕ
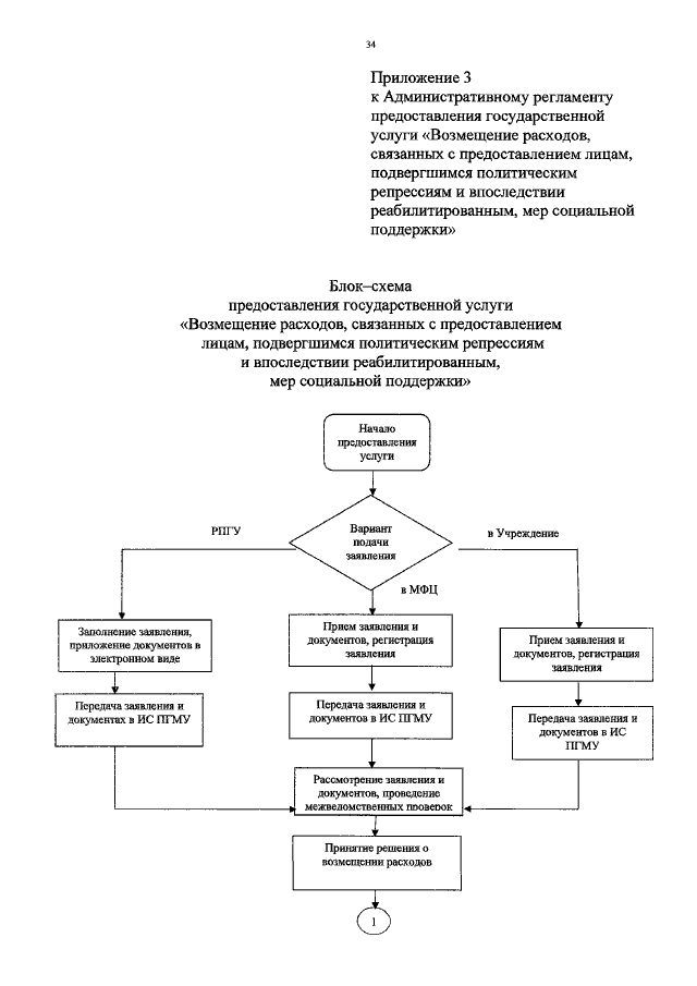
Приказ Департамента здравоохранения, труда и социальной защиты населения Ненецкого автономного округа от 14.11.2017 № 68
"Об утверждении Административного регламента предоставление государственной услуги "Возмещение расходов, связанных с предоставлением лицам, подвергшимся политическим репрессиям и впоследствии реабилитированным, мер социальной поддержки"
Номер опубликования: 8301201711200005
Дата опубликования: 20.11.2017
Страница №35 из 36:
Увеличить