Официальное опубликование правовых актов
ОФИЦИАЛЬНОЕ ОПУБЛИКОВАНИЕ
Распоряжение Комитета по государственному контролю, использованию и охране памятников истории и культуры от 26.11.2024 № 1444-рп
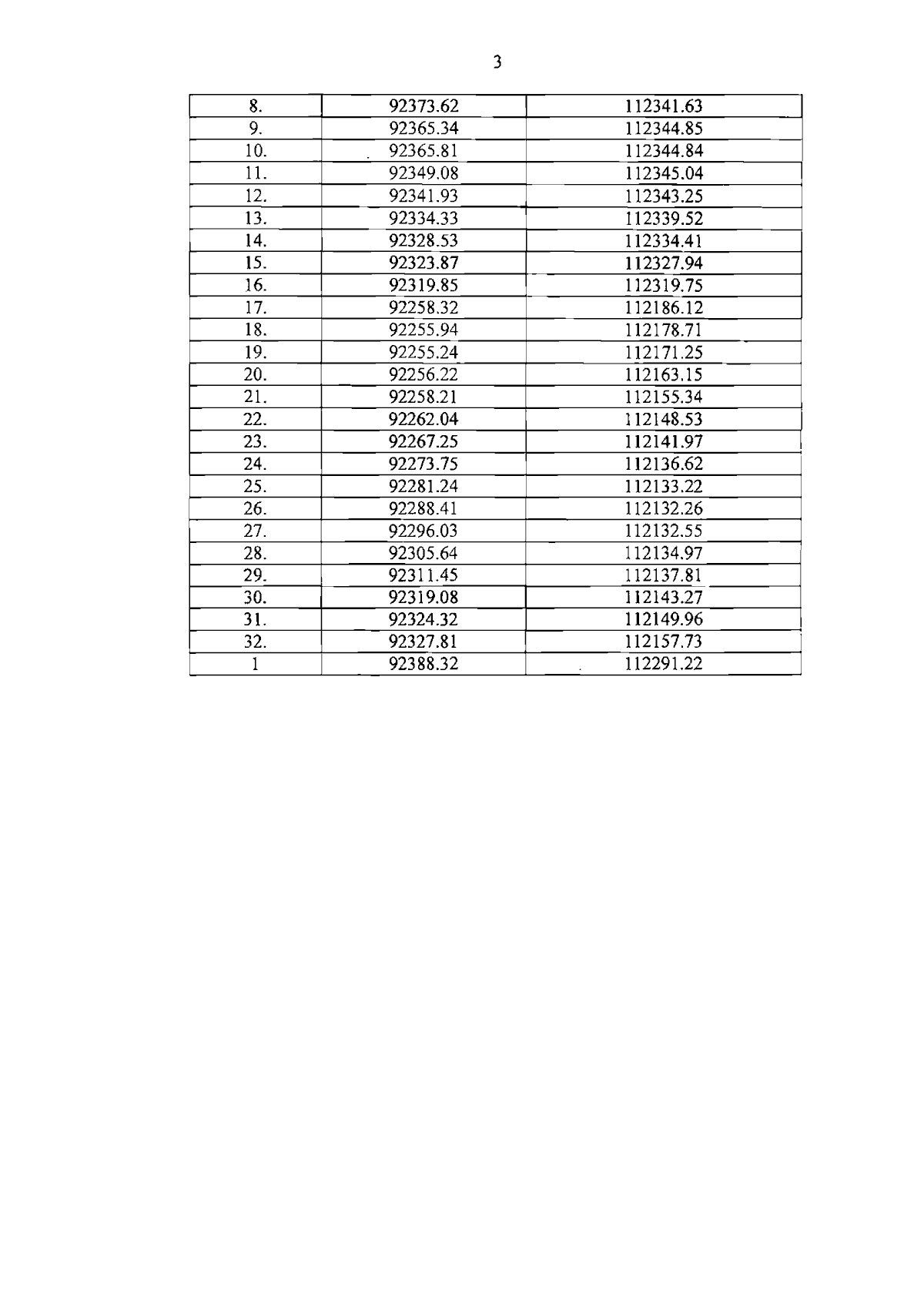
"О включении выявленного объекта культурного наследия в единый государственный реестр объектов культурного наследия (памятников истории и культуры) народов Российской Федерации в качестве объекта культурного наследия регионального значения (достопримечательное место) "Покровский сквер с местом, где в 1798-1934 гг. находилась церковь Покрова Пресвятой Богородицы", об утверждении границ и режима использования территории объекта культурного наследия, об утверждении предмета охраны объекта культурного наследия"
(Зарегистрирован 28.11.2024 № 49409)
Номер опубликования: 7801202411300021
Дата опубликования: 30.11.2024
Страница №5 из 8:
Увеличить