Официальное опубликование правовых актов
ОФИЦИАЛЬНОЕ ОПУБЛИКОВАНИЕ
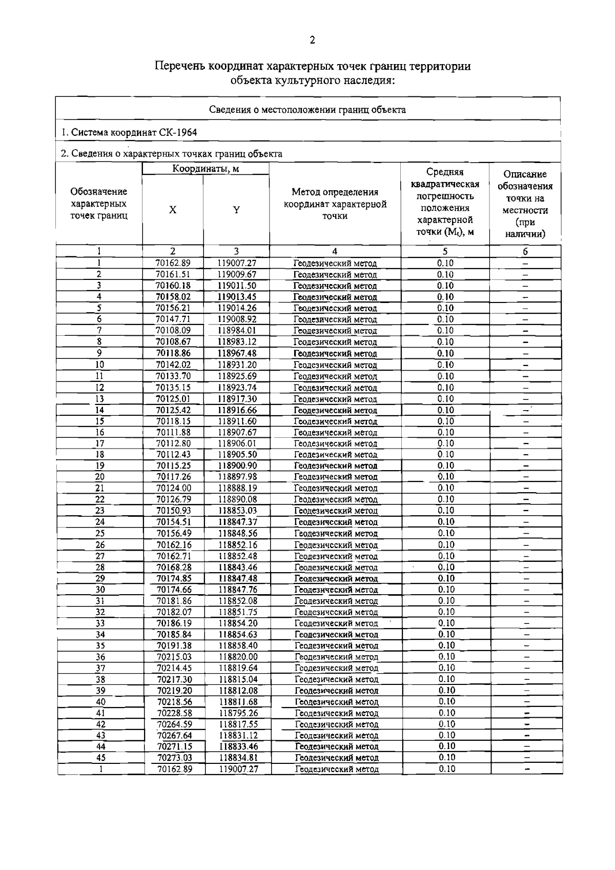
Распоряжение Комитета по государственному контролю, использованию и охране памятников истории и культуры от 21.08.2024 № 1118-рп
"Об утверждении границ и режима использования территории объекта культурного наследия федерального значения "Гостиный двор"
(Зарегистрирован 23.08.2024 № 48728)
Номер опубликования: 7801202408270017
Дата опубликования: 27.08.2024
Страница №4 из 5:
Увеличить