Официальное опубликование правовых актов
ОФИЦИАЛЬНОЕ ОПУБЛИКОВАНИЕ
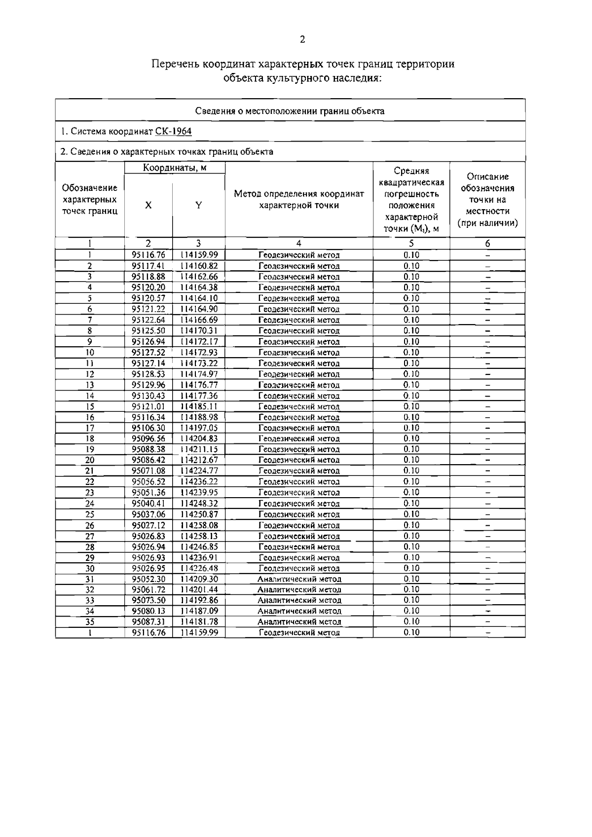
Распоряжение Комитета по государственному контролю, использованию и охране памятников истории и культуры Санкт-Петербурга от 15.02.2024 № 198-рп
"Об утверждении границ и режима использования территории объекта культурного наследия регионального значения "Дом Штакеншнейдера"
(Зарегистрирован 15.02.2024 № 37006)
Номер опубликования: 7801202402190013
Дата опубликования: 19.02.2024
Страница №4 из 5:
Увеличить