Официальное опубликование правовых актов
ОФИЦИАЛЬНОЕ ОПУБЛИКОВАНИЕ
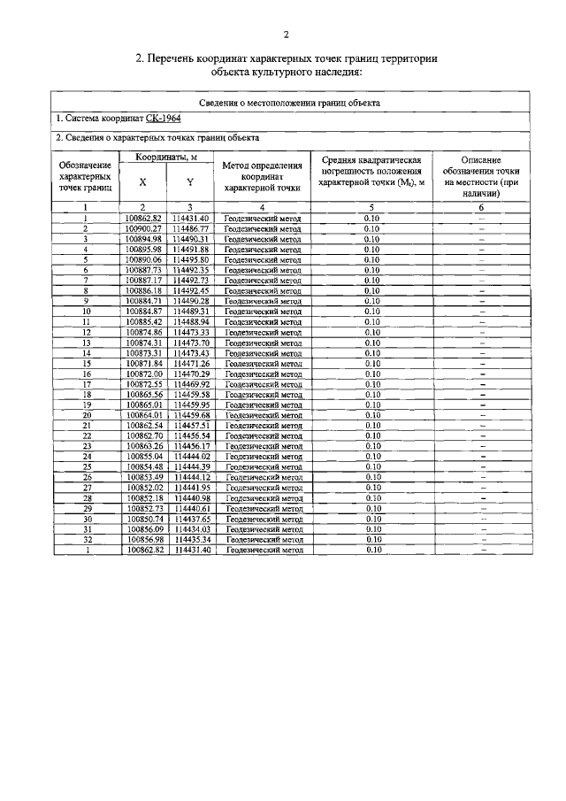
Распоряжение Комитета по государственному контролю, использованию и охране памятников истории и культуры Санкт-Петербурга от 26.04.2023 № 298-рп
"Об утверждении границ и режима использования территории объекта культурного наследия федерального значения "Дом, где в октябре 1917 г. жил Ленин В.И."
(Зарегистрирован 27.04.2023 № 34774)
Номер опубликования: 7801202305020008
Дата опубликования: 02.05.2023
Страница №4 из 5:
Увеличить