Официальное опубликование правовых актов
ОФИЦИАЛЬНОЕ ОПУБЛИКОВАНИЕ
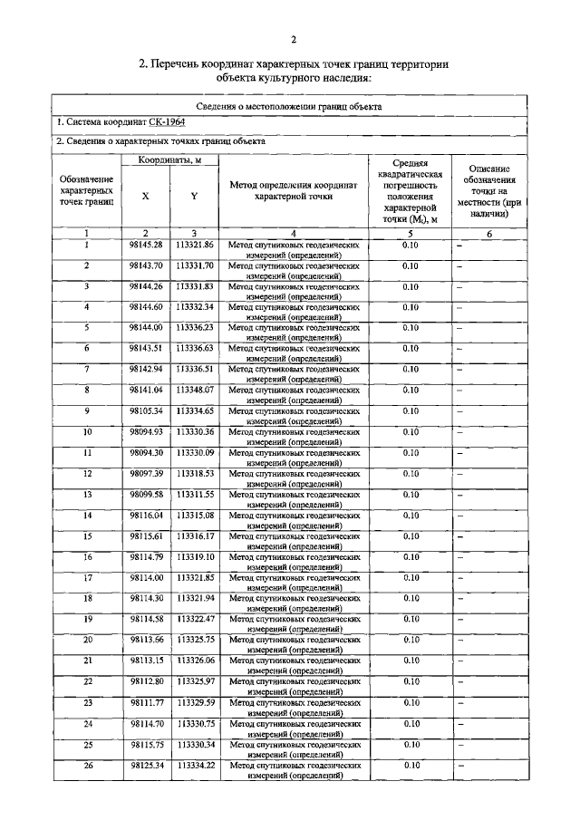
Распоряжение Комитета по государственному контролю, использованию и охране памятников истории и культуры Санкт-Петербурга от 27.04.2023 № 302-рп
"Об утверждении границ и режима использования территории объекта культурного наследия регионального значения "Дом, где в июле в 1917 г. нелегально жил Ленин В.И."
(Зарегистрирован 27.04.2023 № 34778)
Номер опубликования: 7801202305020005
Дата опубликования: 02.05.2023
Страница №4 из 6:
Увеличить