Официальное опубликование правовых актов
ОФИЦИАЛЬНОЕ ОПУБЛИКОВАНИЕ
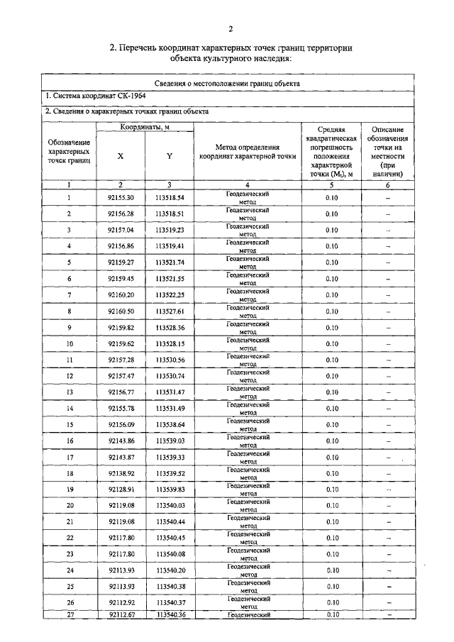
Распоряжение Комитета по государственному контролю, использованию и охране памятников истории и культуры Санкт-Петербурга от 17.02.2022 № 131-рп
"Об утверждении границ и режима использования территории объекта культурного наследия регионального значения "Здание Консисторского управления Могилевской Римско-католической архиепархии с костелом Успения Девы Марии (Духовная семинария Римско-католической архиепархии)"
Номер опубликования: 7801202202240014
Дата опубликования: 24.02.2022
Страница №4 из 7:
Увеличить