Официальное опубликование правовых актов
ОФИЦИАЛЬНОЕ ОПУБЛИКОВАНИЕ
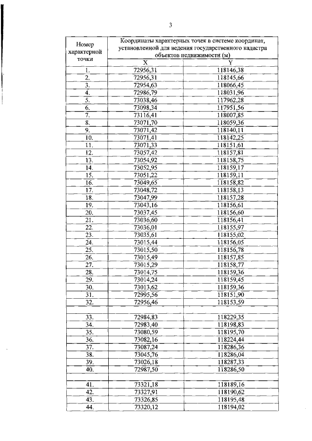
Распоряжение Комитета по государственному контролю, использованию и охране памятников истории и культуры Санкт-Петербурга от 11.09.2020 № 292-р
"Об утверждении границ и режима использования территории объекта культурного наследия федерального значения "Мемориал в память обороны города в 1941-1944 гг. - "Зеленый пояс Славы Ленинграда". "Ополченцы"
Номер опубликования: 7801202009180004
Дата опубликования: 18.09.2020
Страница №5 из 6:
Увеличить