Официальное опубликование правовых актов
ОФИЦИАЛЬНОЕ ОПУБЛИКОВАНИЕ
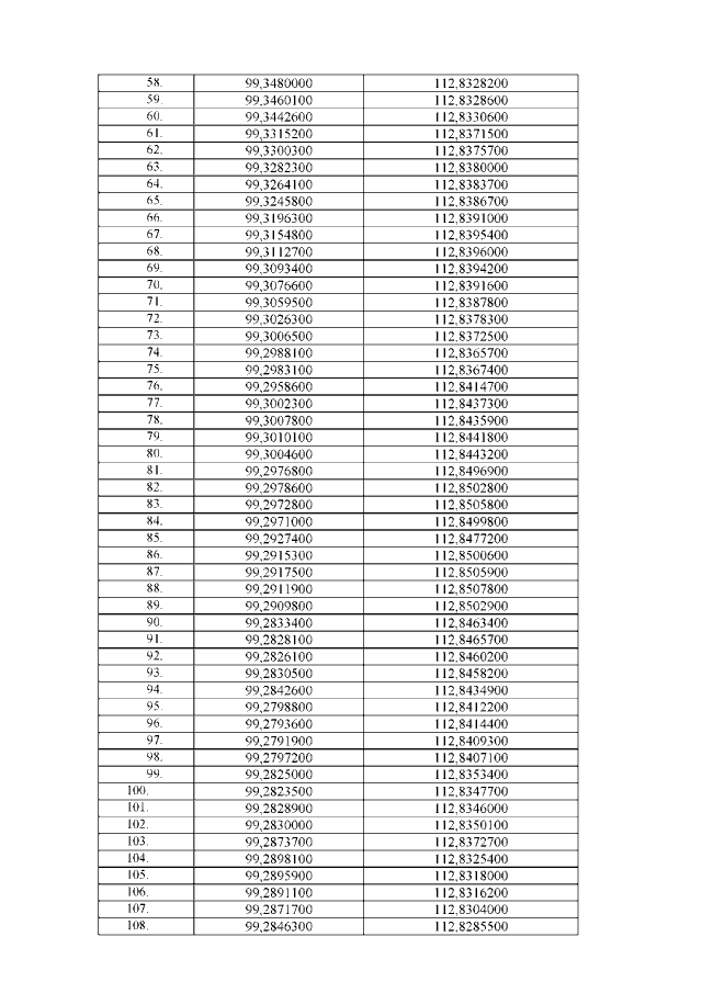
Распоряжение Комитета по государственному контролю, использованию и охране памятников истории и культуры Санкт-Петербурга от 05.12.2018 № 507-р
"Об утверждении границ и режима использования территории объекта культурного наследия "Дворец Каменноостровский"
Номер опубликования: 7801201812140009
Дата опубликования: 14.12.2018
Страница №6 из 11:
Увеличить