Распоряжение Комитета по государственному контролю, использованию и охране памятников истории и культуры Санкт-Петербурга от 31.08.2018 № 345-р
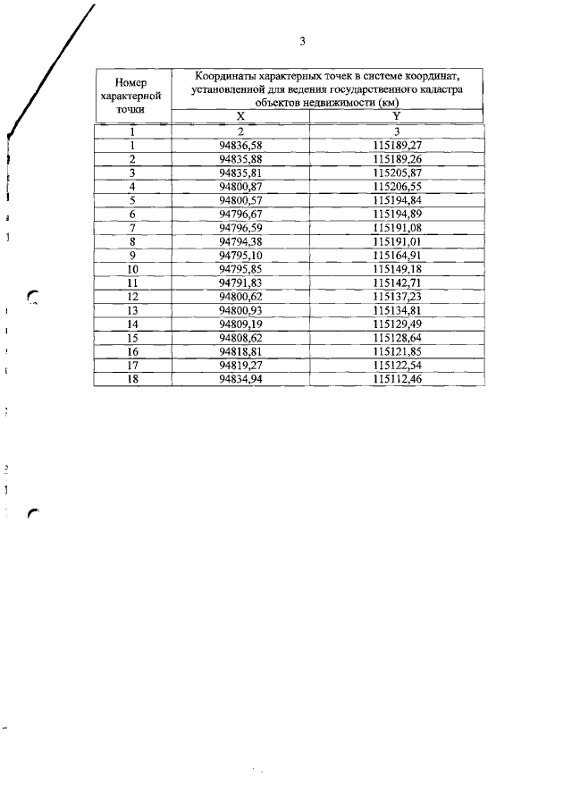
"Об утверждении границ и режима использования территории объекта культурного наследия федерального значения "Дом Неклюдова Н.В. (дом Министерства Императорского Двора, "Дом Голицына"). Здесь жили: в 1812-1824 гг. - историк Тургенев А.И. и в 1816-1824 гг. декабрист Тургенев Н.И."
"Об утверждении границ и режима использования территории объекта культурного наследия федерального значения "Дом Неклюдова Н.В. (дом Министерства Императорского Двора, "Дом Голицына"). Здесь жили: в 1812-1824 гг. - историк Тургенев А.И. и в 1816-1824 гг. декабрист Тургенев Н.И."
Номер опубликования: 7801201809050025
Дата опубликования:
05.09.2018
