Постановление Правительства Санкт-Петербурга от 22.10.2024 № 916
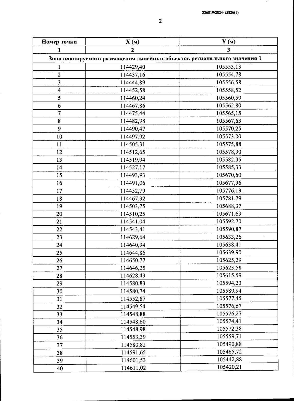
"Об утверждении проекта планировки с проектом межевания территории для размещения линейных объектов регионального значения "Садовая ул. от проектируемого Горского шоссе до проектируемой улицы №2, проектируемая улица №1 от ул.Новостроек до проектируемой Школьной ул."
"Об утверждении проекта планировки с проектом межевания территории для размещения линейных объектов регионального значения "Садовая ул. от проектируемого Горского шоссе до проектируемой улицы №2, проектируемая улица №1 от ул.Новостроек до проектируемой Школьной ул."
Номер опубликования: 7800202410280001
Дата опубликования:
28.10.2024
