Официальное опубликование правовых актов
ОФИЦИАЛЬНОЕ ОПУБЛИКОВАНИЕ
Постановление Правительства Санкт-Петербурга от 22.10.2024 № 916
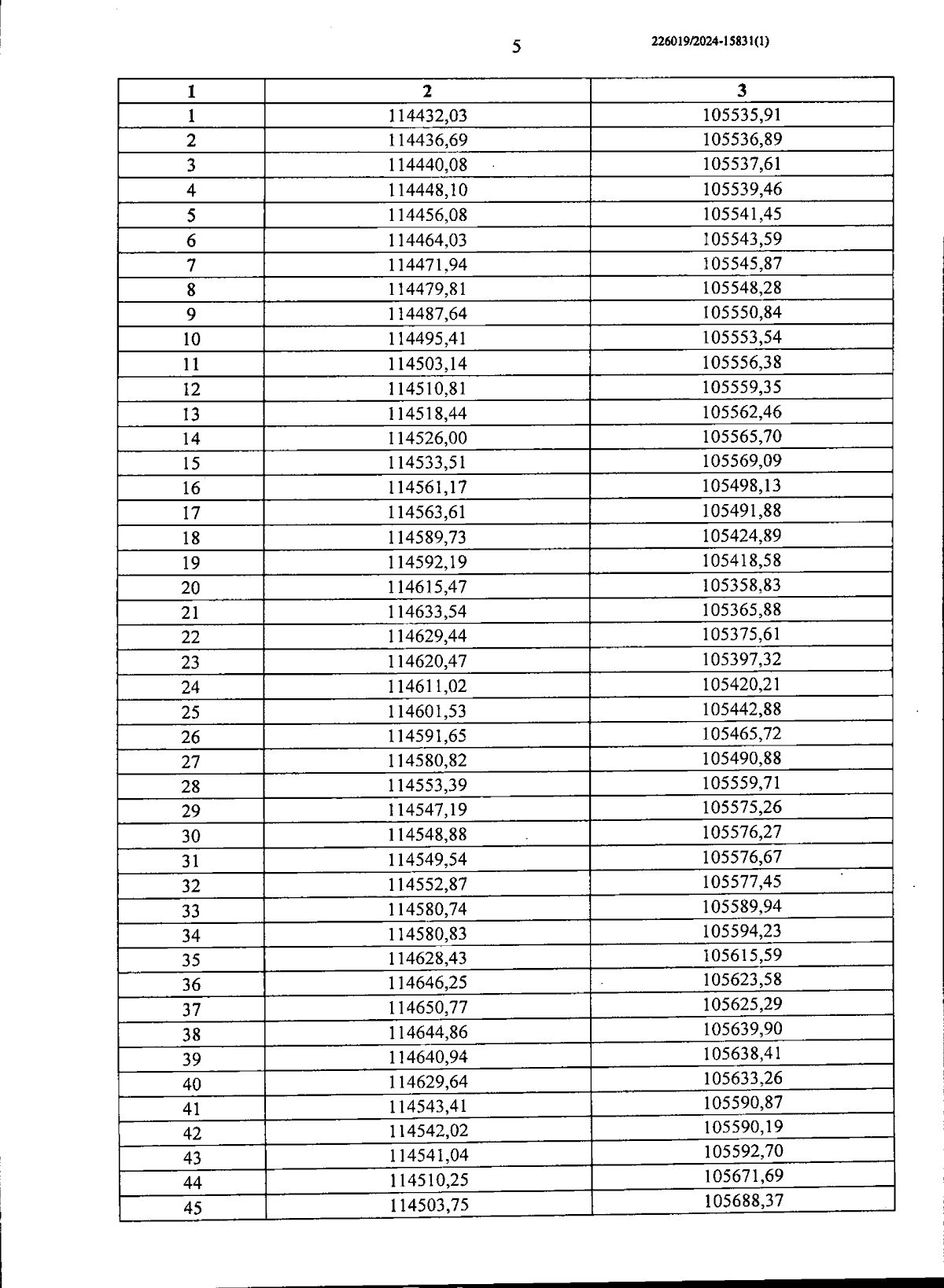
"Об утверждении проекта планировки с проектом межевания территории для размещения линейных объектов регионального значения "Садовая ул. от проектируемого Горского шоссе до проектируемой улицы №2, проектируемая улица №1 от ул.Новостроек до проектируемой Школьной ул."
Номер опубликования: 7800202410280001
Дата опубликования: 28.10.2024
Страница №18 из 20:
Увеличить