Официальное опубликование правовых актов
ОФИЦИАЛЬНОЕ ОПУБЛИКОВАНИЕ
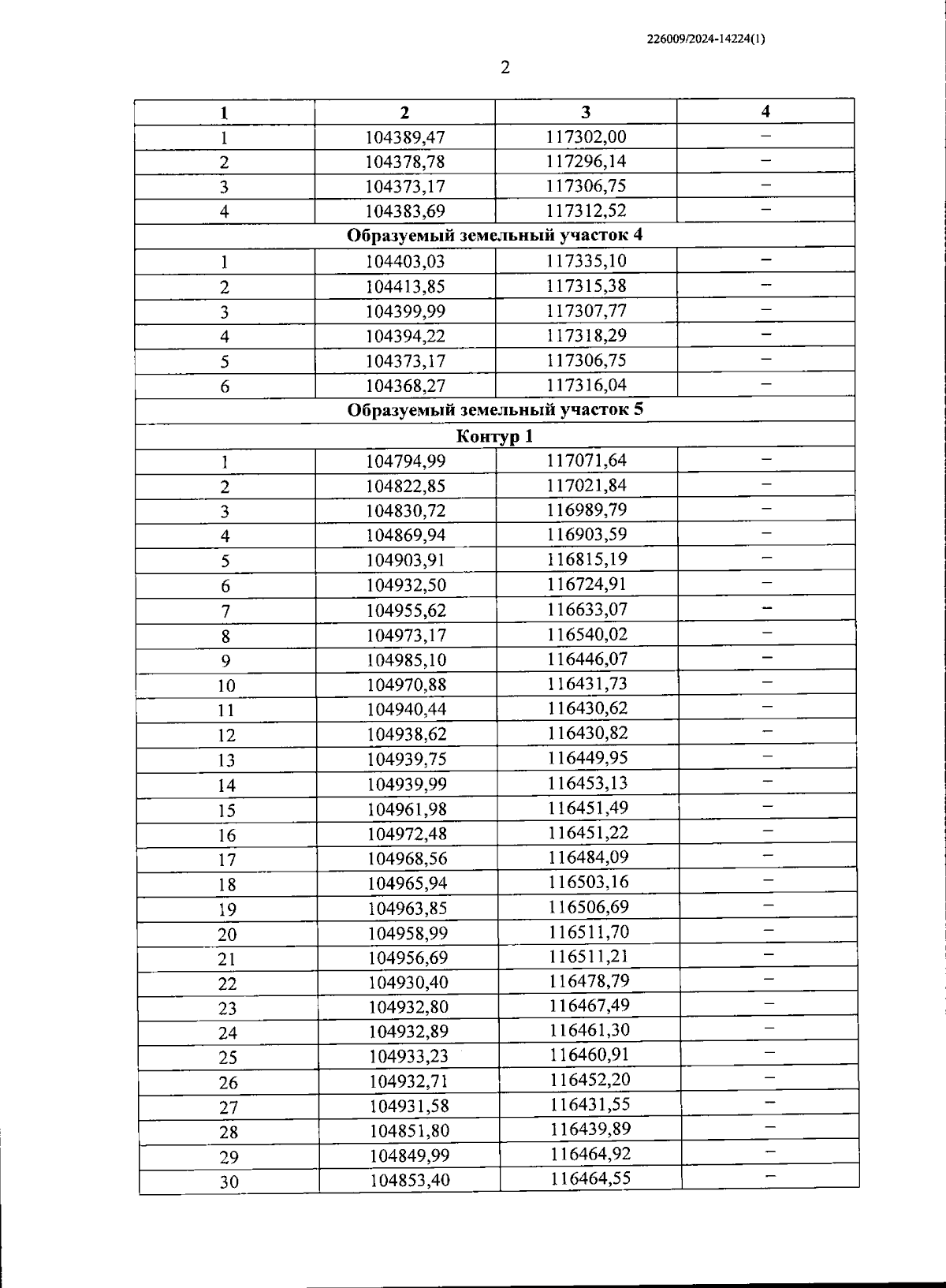
Постановление Правительства Санкт-Петербурга от 24.09.2024 № 829
"О внесении изменений в постановление Правительства Санкт-Петербурга от 23.09.2010 № 1284"
Номер опубликования: 7800202410010003
Дата опубликования: 01.10.2024
Страница №17 из 26:
Увеличить