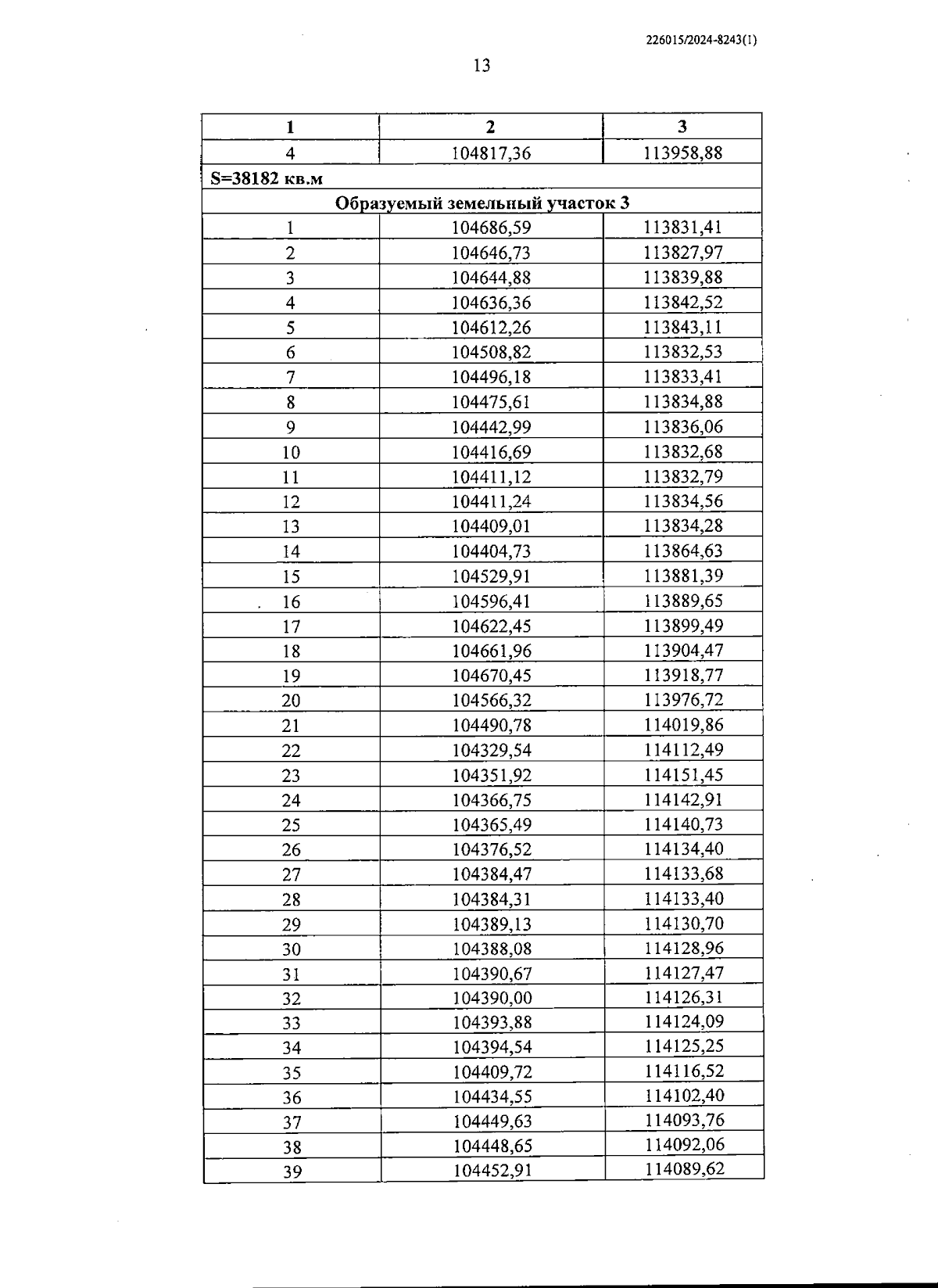
Постановление Правительства Санкт-Петербурга от 05.06.2024 № 444
"Об утверждении проекта планировки с проектом межевания территории для размещения линейного объекта регионального значения "Транспортная развязка на пересечении Поклонногорской ул., пр.Энгельса, Северного пр., и пр.Тореза"
"Об утверждении проекта планировки с проектом межевания территории для размещения линейного объекта регионального значения "Транспортная развязка на пересечении Поклонногорской ул., пр.Энгельса, Северного пр., и пр.Тореза"
Номер опубликования: 7800202406100005
Дата опубликования:
10.06.2024
