Официальное опубликование правовых актов
ОФИЦИАЛЬНОЕ ОПУБЛИКОВАНИЕ
Постановление Правительства Санкт-Петербурга от 06.05.2024 № 328
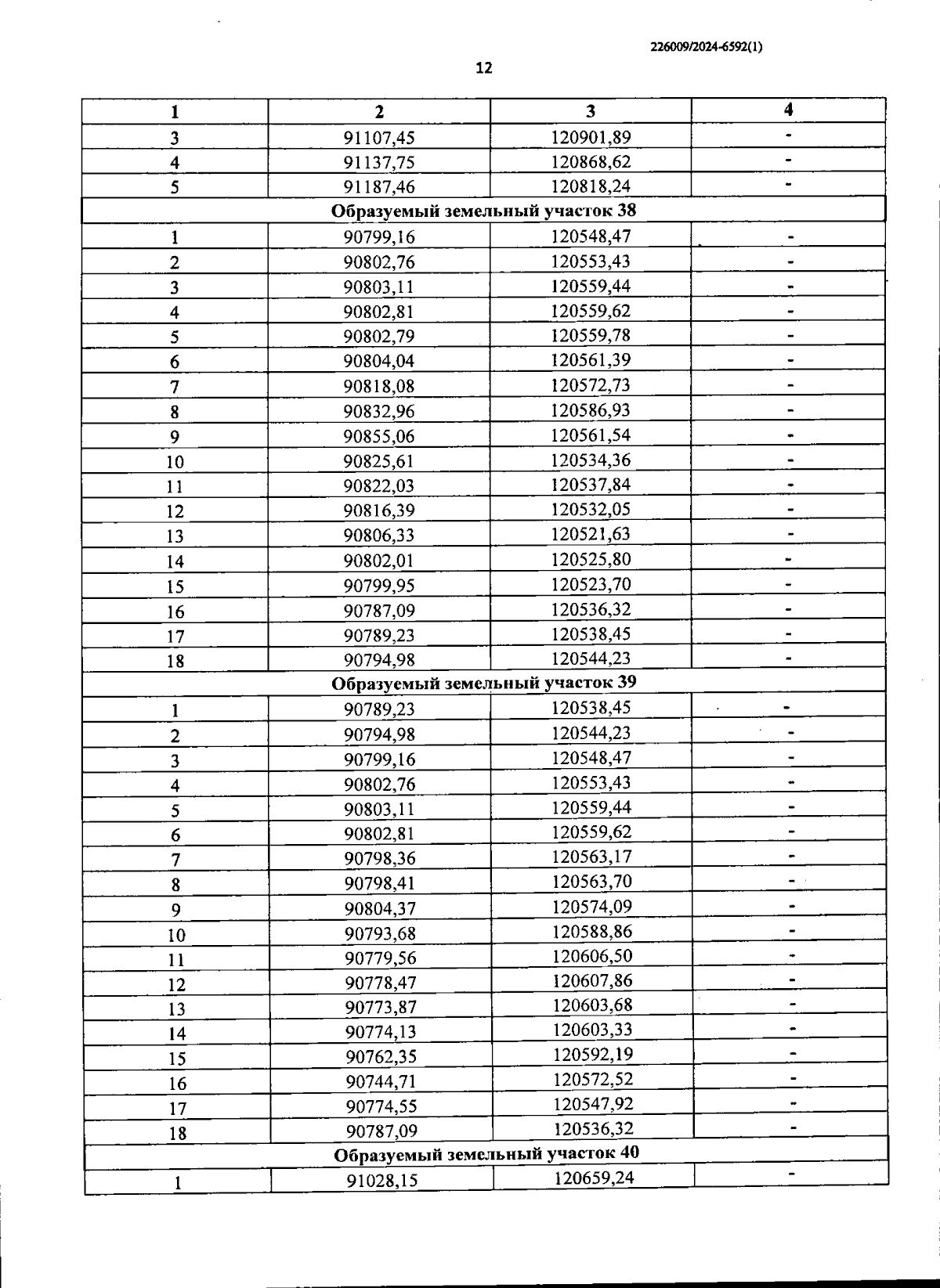
"Об утверждении проекта планировки с проектом межевания территории, ограниченной Дальневосточным пр., проектируемой улицей № 1, Октябрьской наб., проектируемой улицей № 2, в Невском районе"
Номер опубликования: 7800202405140006
Дата опубликования: 14.05.2024
Страница №33 из 34:
Увеличить