Постановление Правительства Санкт-Петербурга от 16.11.2023 № 1209
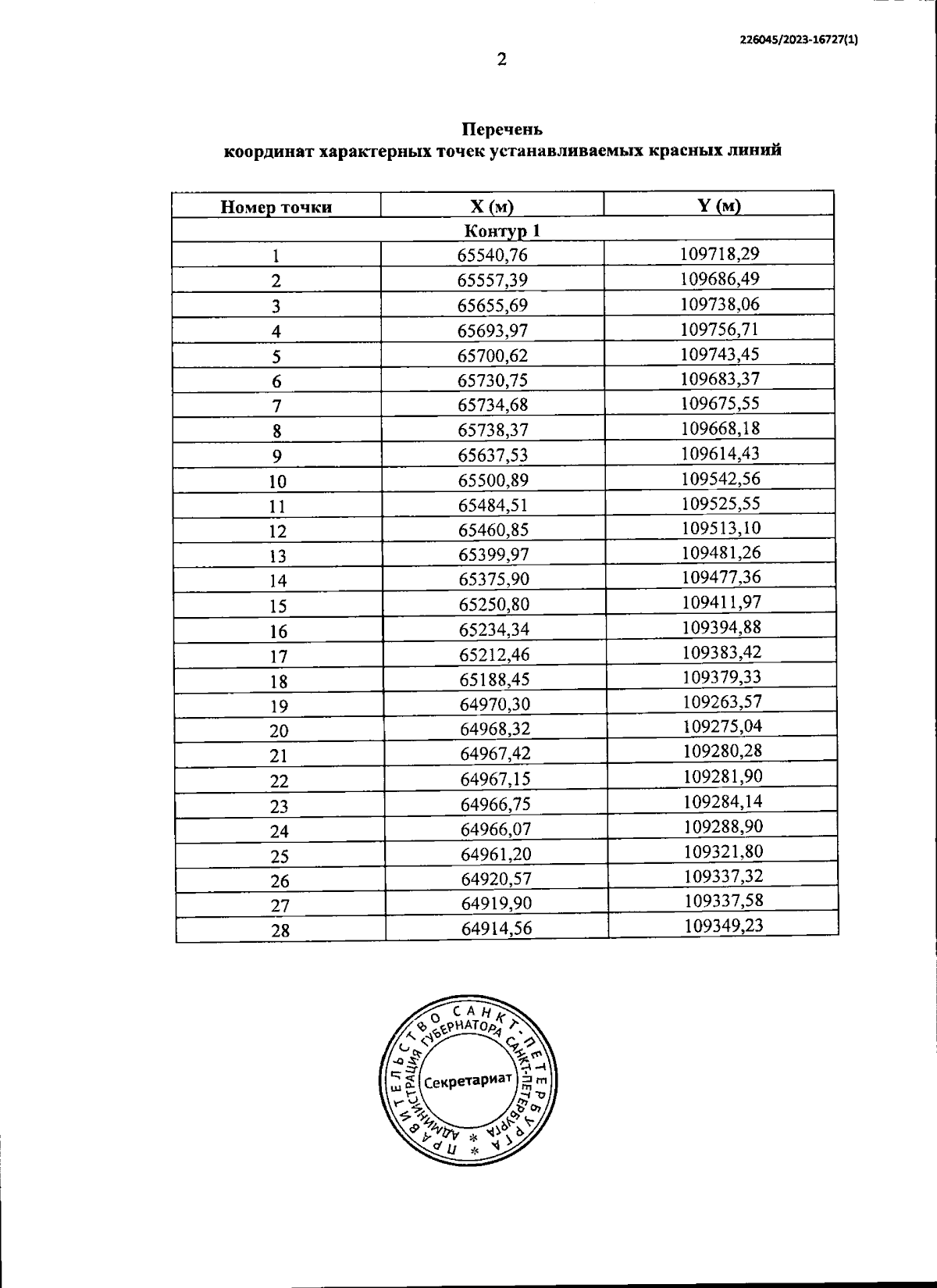
"Об утверждении проекта планировки с проектом межевания территории для размещения линейного объекта регионального значения "Киевское шоссе от транспортной развязки на Кондакопшино до административных границ Санкт-Петербурга"
"Об утверждении проекта планировки с проектом межевания территории для размещения линейного объекта регионального значения "Киевское шоссе от транспортной развязки на Кондакопшино до административных границ Санкт-Петербурга"
Номер опубликования: 7800202311210002
Дата опубликования:
21.11.2023
