Постановление Правительства Санкт-Петербурга от 09.02.2022 № 93
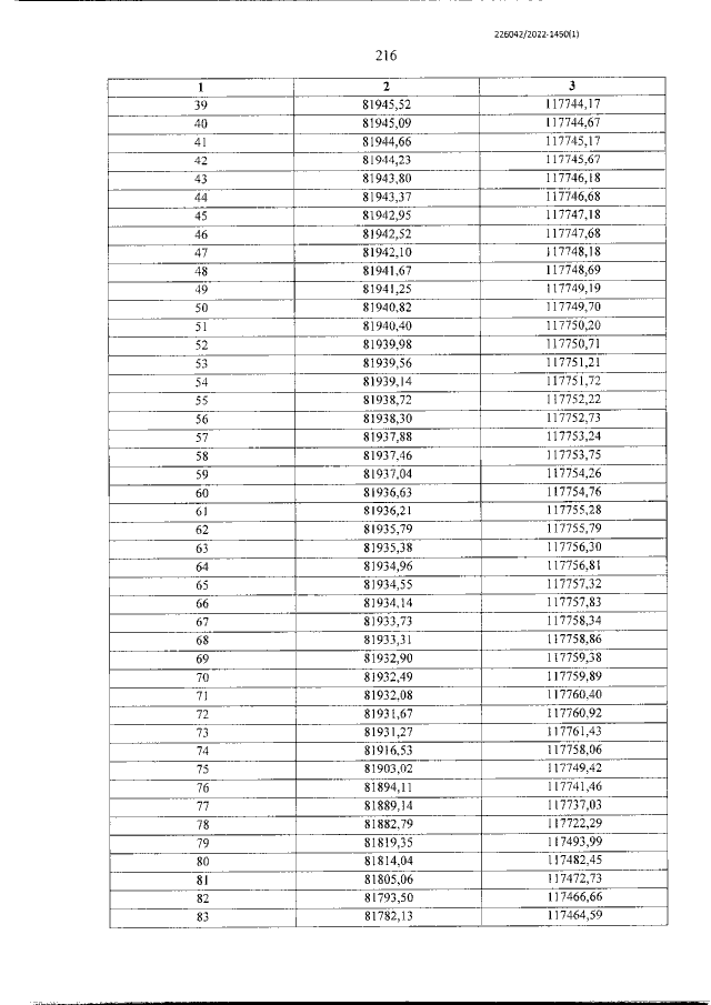
"Об утверждении проекта планировки с проектом межевания территории для размещения линейных объектов регионального значения "Трамвайная сеть по маршруту "станция метро "Купчино" - пос. Шушары - Славянка", автомобильные дороги регионального значения Балканская пл., Балканская ул. на участке от ул. Ярослава Гашека в юго-восточном направлении до планируемого внутриквартального проезда, проектируемая ул. от Балканской ул. до границы полосы отвода железной дороги, Чудовская ул. от Новгородского пр. до Старорусского пр., Школьная ул. от Новгородского пр. до Старорусского пр., Вилеровский пер. от Новгородского пр. до Старорусского пр., Старорусский пр. от Чудовской ул. до Новгородского пр., Новгородский пр. от Чудовской ул. до Шушарской дор., шоссе Подбельского от Южной широтной магистрали до Торопецкой ул., Торопецкая ул. от шоссе Подбельского до Северской ул., Северская ул. от Торопецкой ул. до Колпинского шоссе, перспективная магистраль в створе Северской ул. от Колпинского шоссе до южной границы функциональной зоны "Д"
"Об утверждении проекта планировки с проектом межевания территории для размещения линейных объектов регионального значения "Трамвайная сеть по маршруту "станция метро "Купчино" - пос. Шушары - Славянка", автомобильные дороги регионального значения Балканская пл., Балканская ул. на участке от ул. Ярослава Гашека в юго-восточном направлении до планируемого внутриквартального проезда, проектируемая ул. от Балканской ул. до границы полосы отвода железной дороги, Чудовская ул. от Новгородского пр. до Старорусского пр., Школьная ул. от Новгородского пр. до Старорусского пр., Вилеровский пер. от Новгородского пр. до Старорусского пр., Старорусский пр. от Чудовской ул. до Новгородского пр., Новгородский пр. от Чудовской ул. до Шушарской дор., шоссе Подбельского от Южной широтной магистрали до Торопецкой ул., Торопецкая ул. от шоссе Подбельского до Северской ул., Северская ул. от Торопецкой ул. до Колпинского шоссе, перспективная магистраль в створе Северской ул. от Колпинского шоссе до южной границы функциональной зоны "Д"
Номер опубликования: 7800202202110001
Дата опубликования:
11.02.2022
