Официальное опубликование правовых актов
ОФИЦИАЛЬНОЕ ОПУБЛИКОВАНИЕ
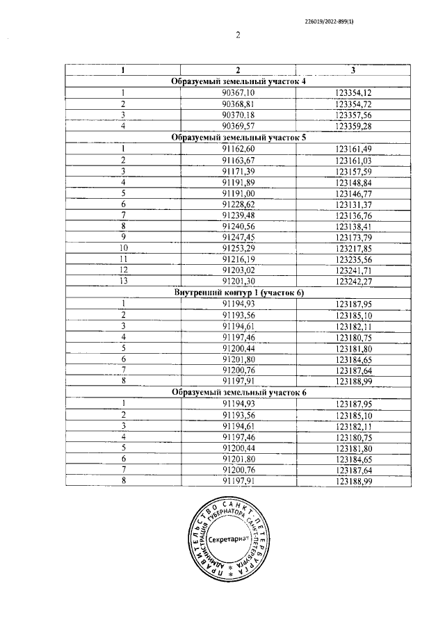
Постановление Правительства Санкт-Петербурга от 27.01.2022 № 47
"Об утверждении проекта планировки с проектом межевания территории для размещения линейного объекта регионального значения "Лахтинско-Правобережная линия метрополитена от станции "Улица Дыбенко" до станции "Кудрово" в административных границах Санкт-Петербурга"
Номер опубликования: 7800202202040005
Дата опубликования: 04.02.2022
Страница №25 из 25:
Увеличить