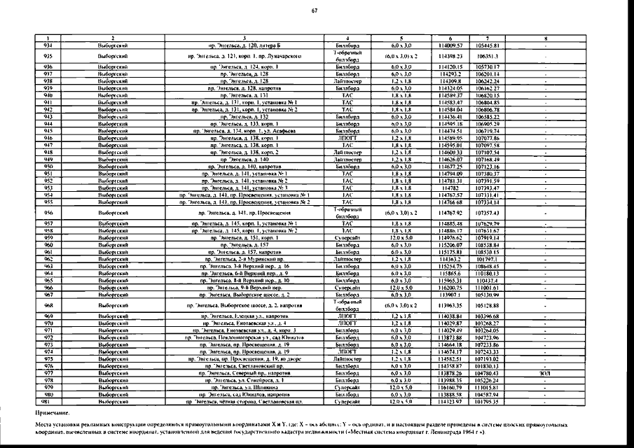
Официальное опубликование правовых актов
ОФИЦИАЛЬНОЕ ОПУБЛИКОВАНИЕ
Постановление Правительства Санкт-Петербурга от 23.05.2017 № 384
"О внесении изменения в постановление Правительства Санкт-Петербурга от 17.04.2014 №266"
Номер опубликования: 7800201705260003
Дата опубликования: 26.05.2017
Страница №68 из 253:
Увеличить