Официальное опубликование правовых актов
ОФИЦИАЛЬНОЕ ОПУБЛИКОВАНИЕ
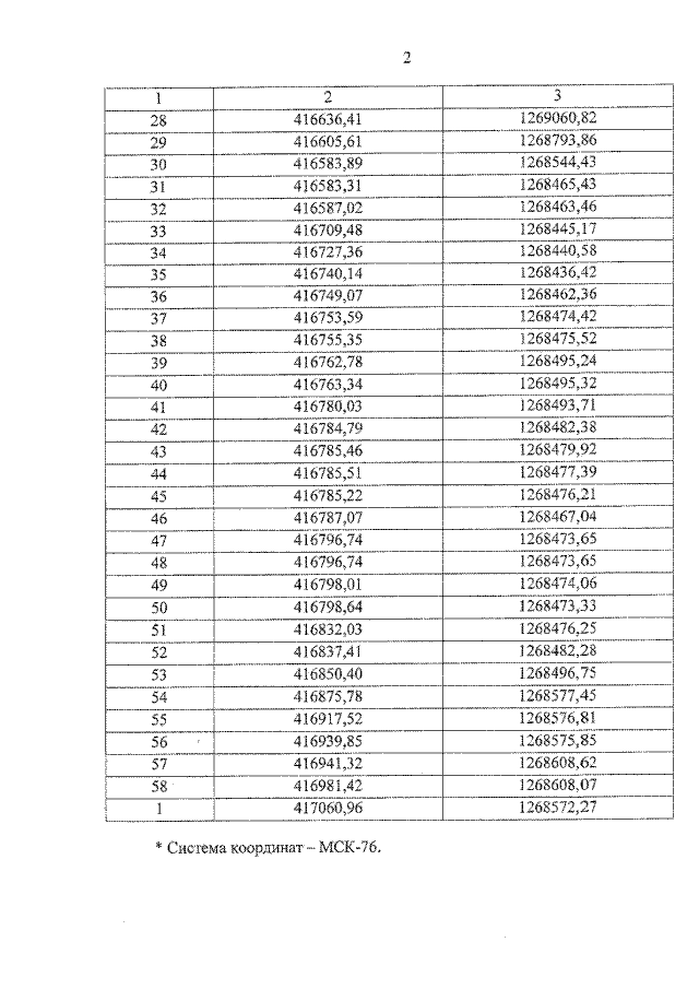
Постановление Правительства Ярославской области от 12.01.2022 № 2-п
"О реорганизации памятника природы, утверждении Положения об охраняемом природном комплексе "Парк санатория им. Воровского" и о внесении изменений в постановления Правительства области от 01.07.2010 № 460-п, от 02.11.2017 № 823-п"
Номер опубликования: 7600202201140004
Дата опубликования: 14.01.2022
Страница №23 из 31:
Увеличить