Официальное опубликование правовых актов
ОФИЦИАЛЬНОЕ ОПУБЛИКОВАНИЕ
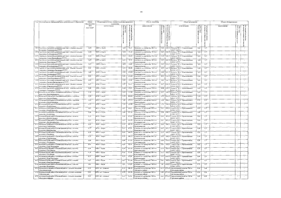
Постановление Правительства Забайкальского края от 16.09.2022 № 411
"Об утверждении территориальной схемы обращения с отходами Забайкальского края"
Номер опубликования: 7500202209190001
Дата опубликования: 19.09.2022
Страница №850 из 856:
Увеличить