Официальное опубликование правовых актов
ОФИЦИАЛЬНОЕ ОПУБЛИКОВАНИЕ
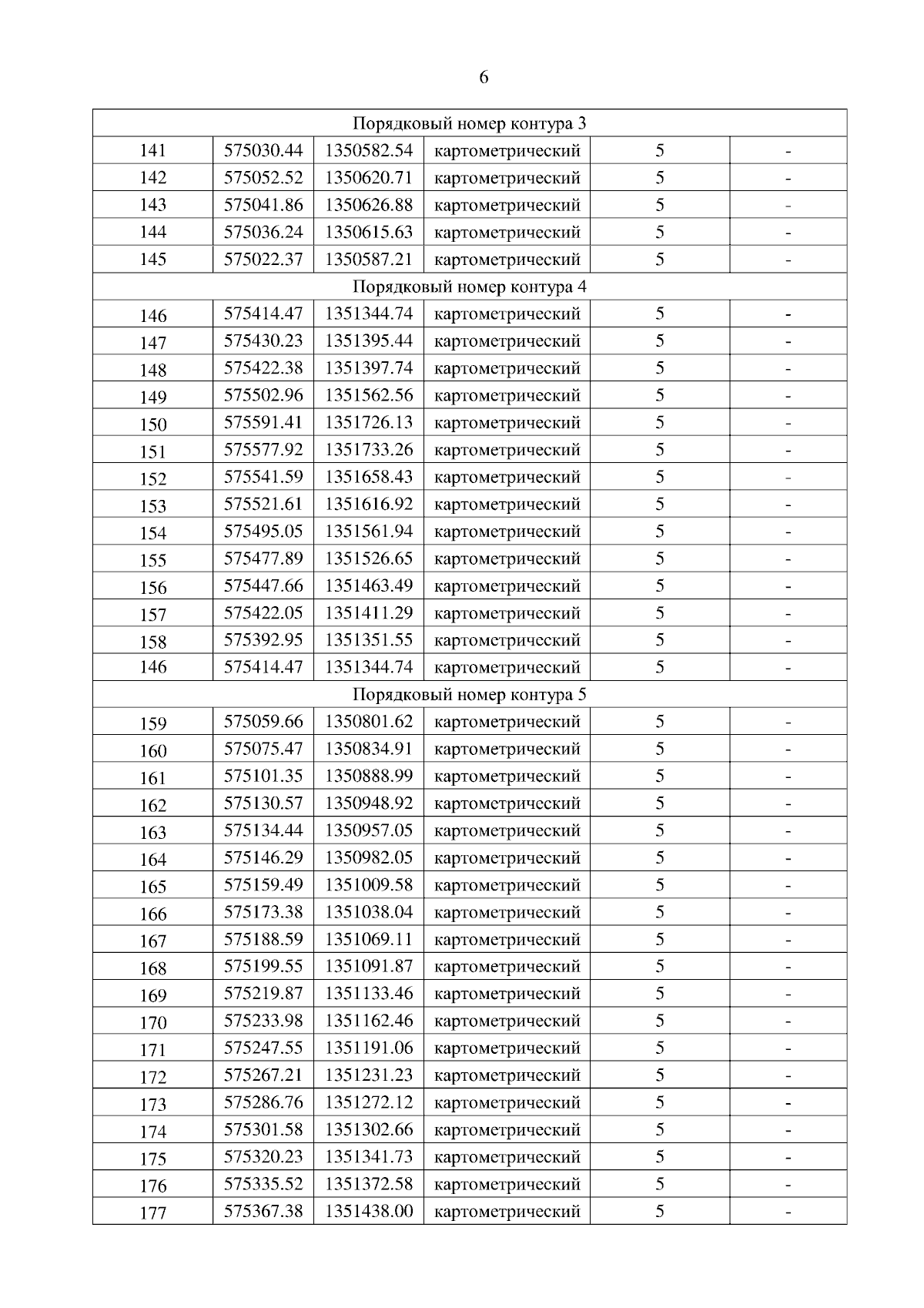
Приказ Главного управления лесами Челябинской области от 10.04.2024 № 243
"Об установлении площадей и границ земель, на которых расположены леса, расположенные в лесопарковых зонах Катав-Ивановского и Саткинского лесничеств"
(Зарегистрирован 11.04.2024 № 68)
Номер опубликования: 7401202404150001
Дата опубликования: 15.04.2024
Страница №8 из 30:
Увеличить