Официальное опубликование правовых актов
ОФИЦИАЛЬНОЕ ОПУБЛИКОВАНИЕ
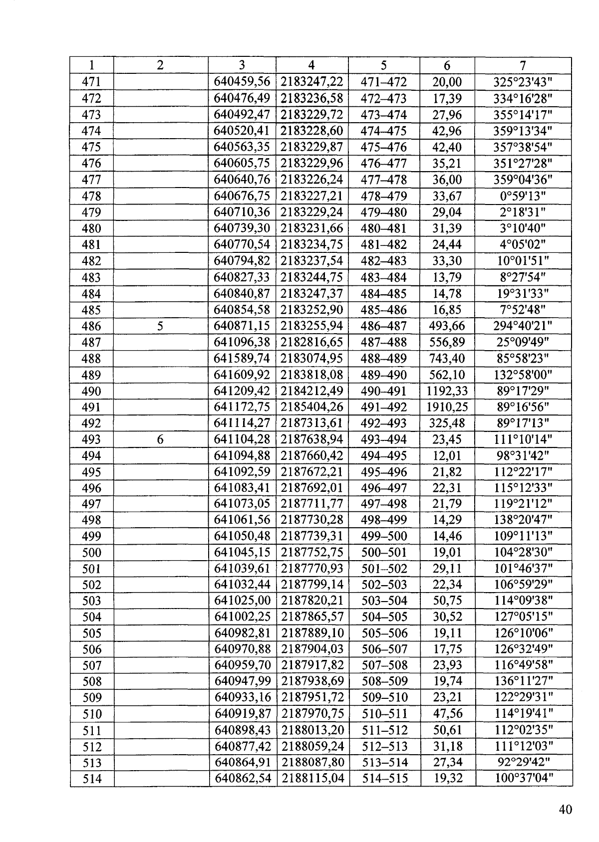
Закон Челябинской области от 05.04.2024 № 51-ЗО
"О внесении изменений в Закон Челябинской области "О статусе и границах Кусинского муниципального района, городских и сельских поселений в его составе"
Номер опубликования: 7400202404080002
Дата опубликования: 08.04.2024
Страница №40 из 78:
Увеличить