Официальное опубликование правовых актов
ОФИЦИАЛЬНОЕ ОПУБЛИКОВАНИЕ
Постановление Правительства Челябинской области от 19.03.2020 № 113-П
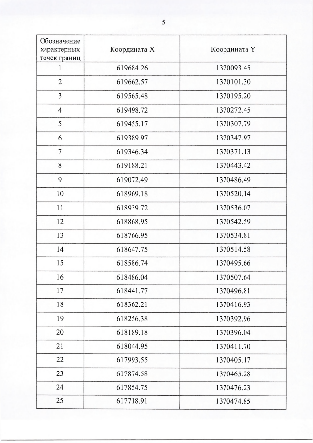
"Об утверждении границ зон охраны, особых режимов использования земель зон охраны и требований к градостроительным регламентам в границах территорий данных зон объекта культурного наследия регионального значения "Комплекс "Пороги", расположенного по адресу: Челябинская область, Саткинский муниципальный район, поселок Пороги, на левом берегу реки Большая Сатка"
Номер опубликования: 7400202003230016
Дата опубликования: 23.03.2020
Страница №7 из 32:
Увеличить