Официальное опубликование правовых актов
ОФИЦИАЛЬНОЕ ОПУБЛИКОВАНИЕ
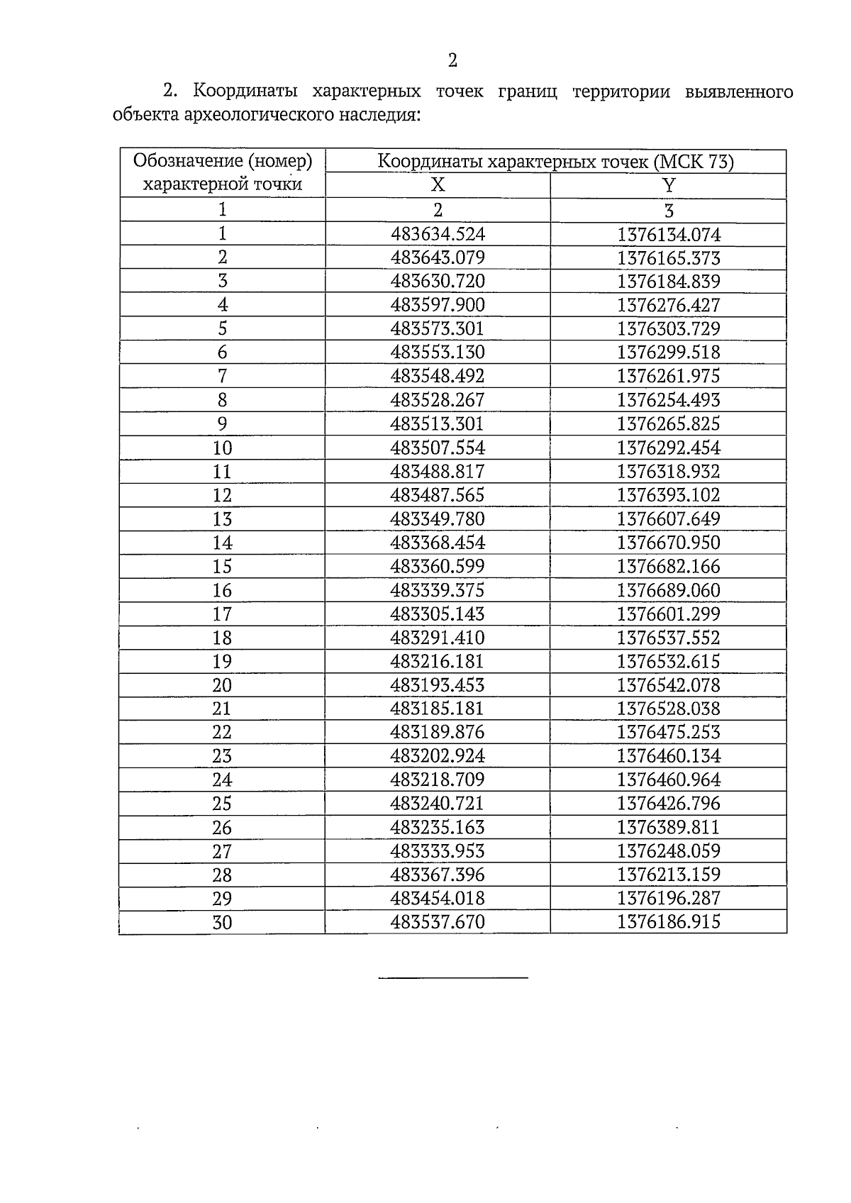
Постановление Правительства Ульяновской области от 24.02.2026 № 84-П
"Об утверждении границ территорий выявленных объектов археологического наследия, расположенных на территории Ульяновской области"
Номер опубликования: 7300202602250004
Дата опубликования: 25.02.2026
Страница №9 из 9:
Увеличить