Официальное опубликование правовых актов
ОФИЦИАЛЬНОЕ ОПУБЛИКОВАНИЕ
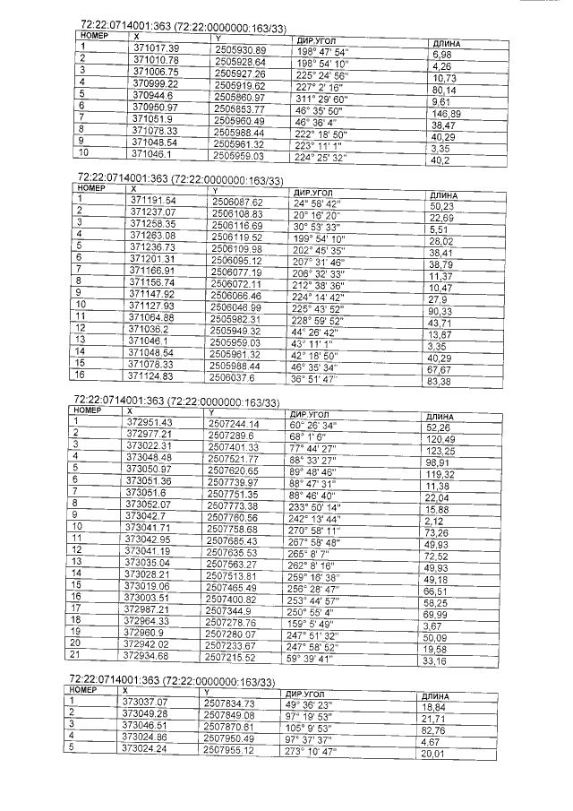
Постановление Правительства Тюменской области от 14.04.2016 № 140-п "Об утверждении документации по планировке территории, предназначенной для размещения линейных объектов транспортной инфраструктуры регионального значения"
Номер опубликования: 7200201604150001
Дата опубликования: 15.04.2016
Страница №314 из 390:
Увеличить