Официальное опубликование правовых актов
ОФИЦИАЛЬНОЕ ОПУБЛИКОВАНИЕ
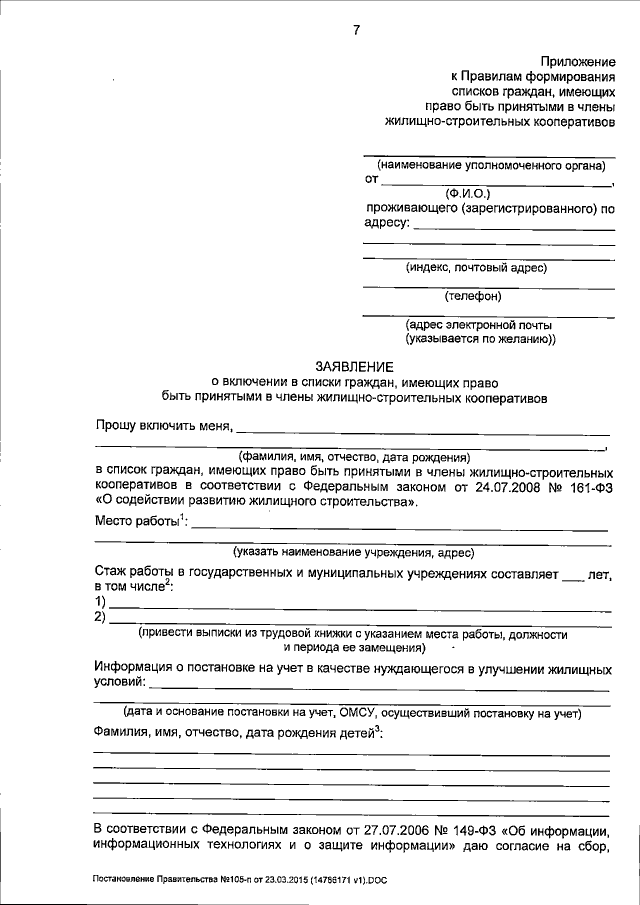
Постановление Правительства Тюменской области от 23.03.2015 № 105-п
"О внесении изменений в постановление от 07.12.2012 № 512-п"
Номер опубликования: 7200201503260006
Дата опубликования: 26.03.2015
Страница №8 из 9:
Увеличить