Официальное опубликование правовых актов
ОФИЦИАЛЬНОЕ ОПУБЛИКОВАНИЕ
Приказ Комитета Тульской области по архитектуре и градостроительству от 02.02.2026 № 23
"О внесении изменений и дополнения в правила землепользования и застройки муниципального образования Яснополянское Щекинского района, утверждённые постановлением администрации муниципального образования Щекинский район от 03.12.2021 №12-1560"
(Зарегистрирован 02.02.2026 № 23)
Номер опубликования: 7101202602030008
Дата опубликования: 03.02.2026
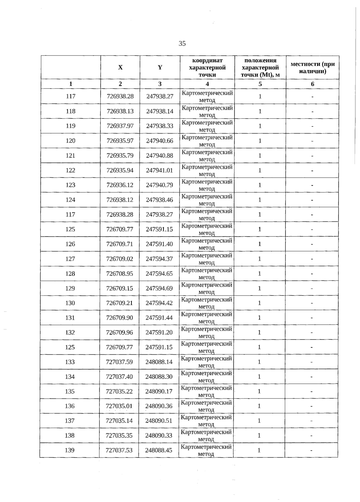
Страница №131 из 159:
Увеличить