Официальное опубликование правовых актов
ОФИЦИАЛЬНОЕ ОПУБЛИКОВАНИЕ
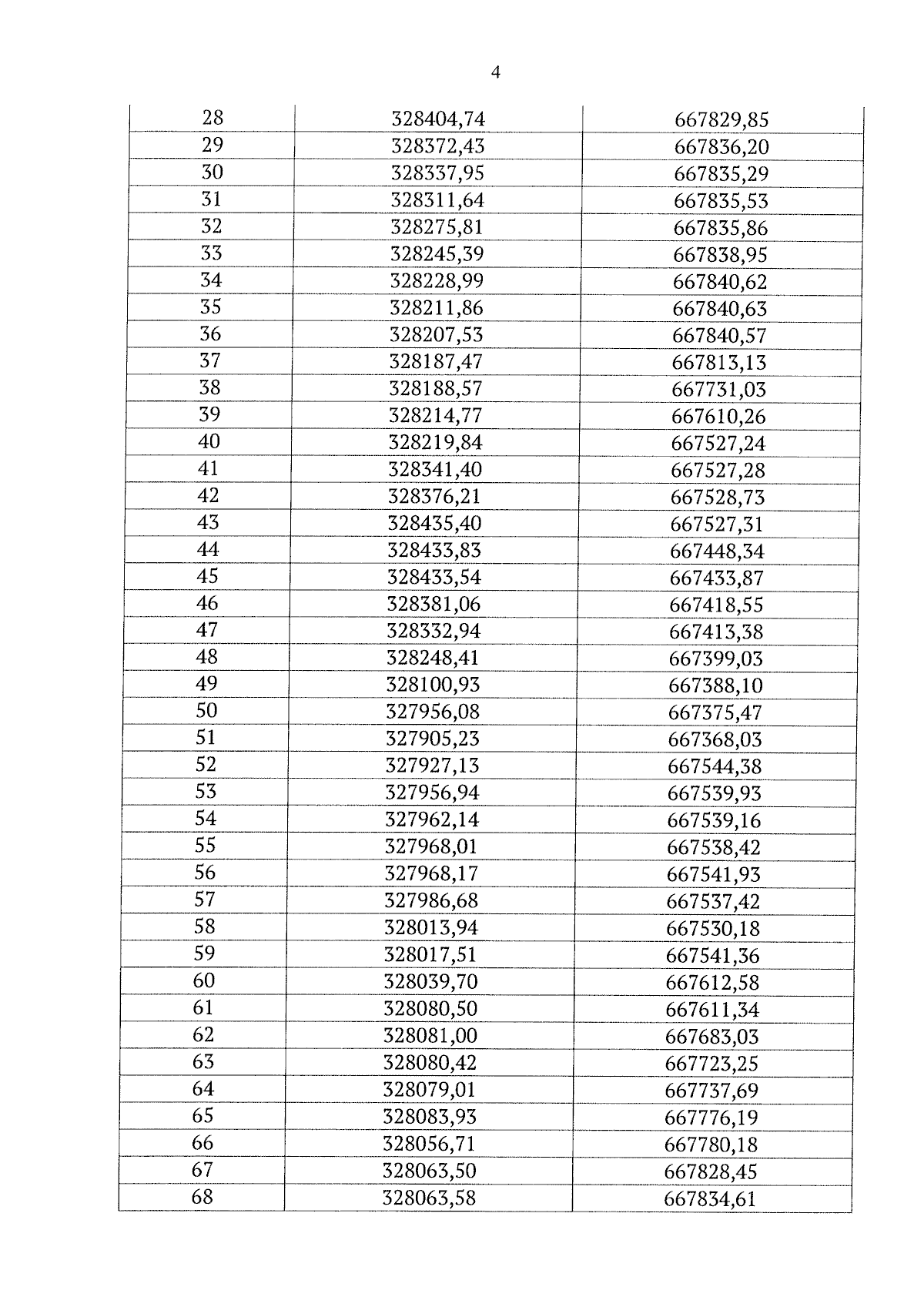
Приказ Инспекции Тульской области по государственной охране объектов культурного наследия от 21.06.2024 № 60
"Об утверждении границ территорий отдельных объектов культурного наследия, расположенных в Куркинском районе Тульской области"
(Зарегистрирован 21.06.2024 № 60)
Номер опубликования: 7101202406260002
Дата опубликования: 26.06.2024
Страница №42 из 80:
Увеличить