Официальное опубликование правовых актов
ОФИЦИАЛЬНОЕ ОПУБЛИКОВАНИЕ
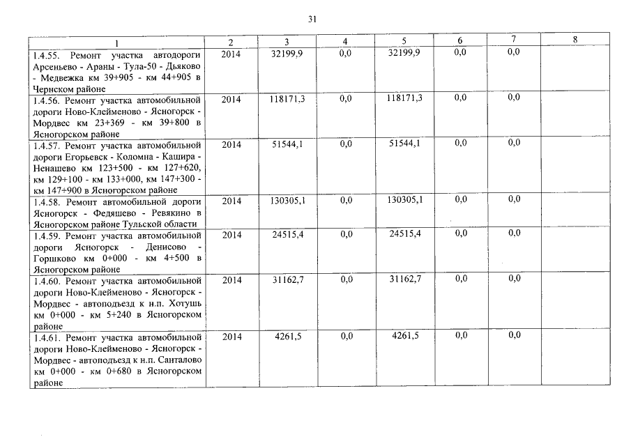
Постановление Правительства Тульской области от 31.03.2016 № 115
"О внесении изменений в постановление правительства Тульской области от 20.11.2013 № 662 "Об утверждении государственной программы Тульской области "Модернизация и развитие автомобильных дорог общего пользования в Тульской области"
Номер опубликования: 7100201604040006
Дата опубликования: 04.04.2016
Страница №32 из 140:
Увеличить