Официальное опубликование правовых актов
ОФИЦИАЛЬНОЕ ОПУБЛИКОВАНИЕ
Приказ Департамента ЖКХ и государственного жилищного надзора Томской области от 03.10.2025 № 30
"О внесении изменения в приказ Департамента ЖКХ и государственного жилищного надзора Томской области от 16.06.2022 № 40"
(Зарегистрирован 06.10.2025 № 1141-71/2025)
Номер опубликования: 7001202510070001
Дата опубликования: 07.10.2025
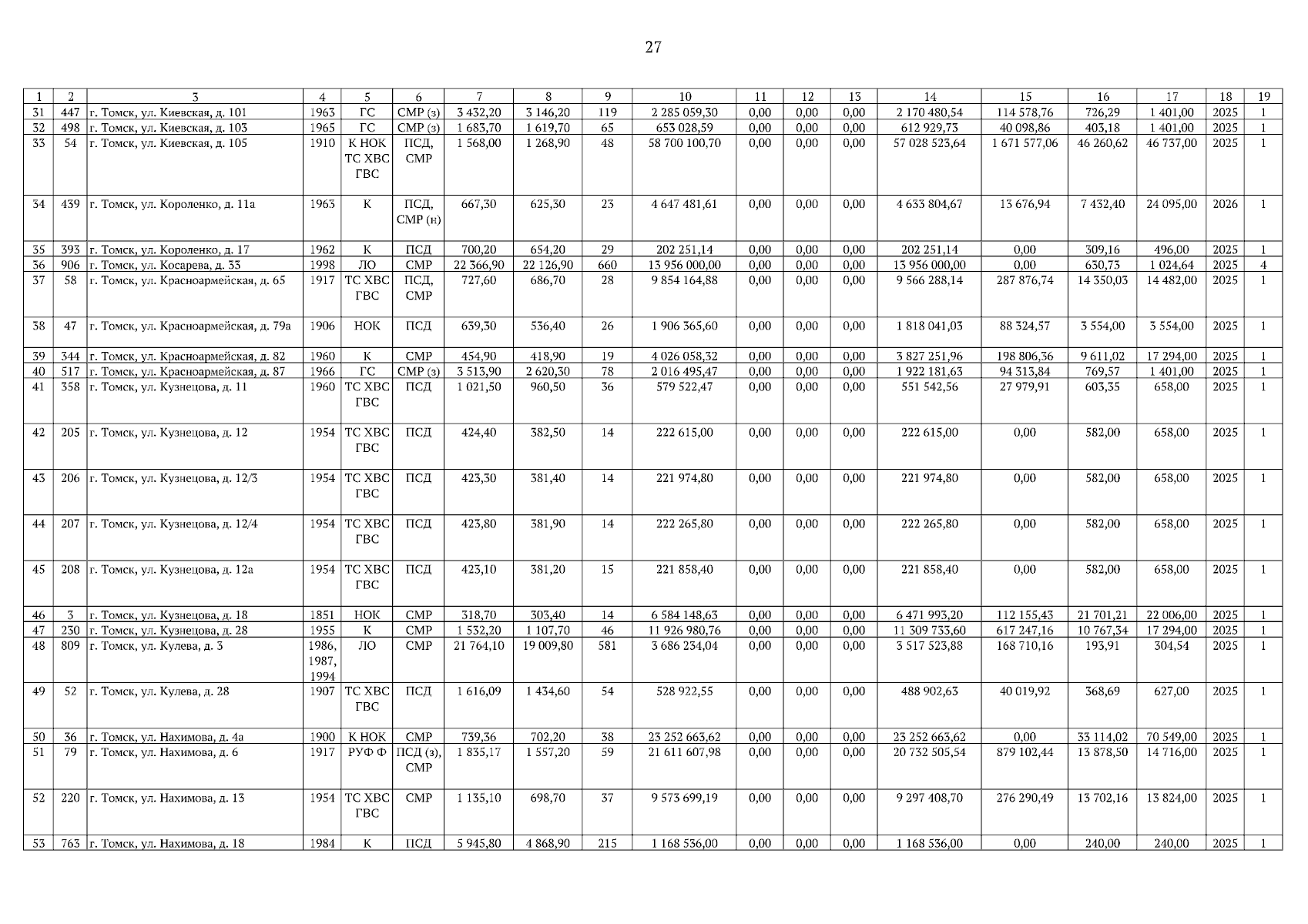
Страница №27 из 177:
Увеличить