Официальное опубликование правовых актов
ОФИЦИАЛЬНОЕ ОПУБЛИКОВАНИЕ
Приказ Главного управления по государственной охране объектов культурного наследия Тверской области от 04.07.2023 № 125-нп
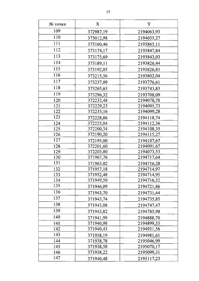
"Об утверждении границ территории объекта культурного наследия федерального значения "Каналы Вышневолоцкой водной системы – первые русские судоходные каналы /водохранилище, заводская плотина/", расположенного по адресу: Тверская область, Вышневолоцкий городской округ"
Номер опубликования: 6901202307100009
Дата опубликования: 10.07.2023
Страница №15 из 23:
Увеличить