Официальное опубликование правовых актов
ОФИЦИАЛЬНОЕ ОПУБЛИКОВАНИЕ
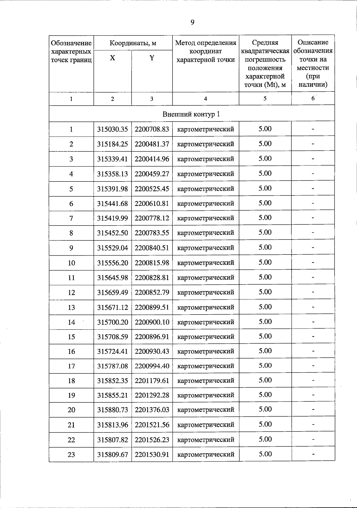
Постановление Правительства Тверской области от 27.11.2024 № 551-пп
"Об особо охраняемой природной территории регионального значения – государственном природном заказнике "Сосновый бор у д. Горощино по берегам рек Осуга и Таложенка"
Номер опубликования: 6900202411280013
Дата опубликования: 28.11.2024
Страница №9 из 18:
Увеличить