Официальное опубликование правовых актов
ОФИЦИАЛЬНОЕ ОПУБЛИКОВАНИЕ
Постановление Правительства Тверской области от 27.11.2024 № 551-пп
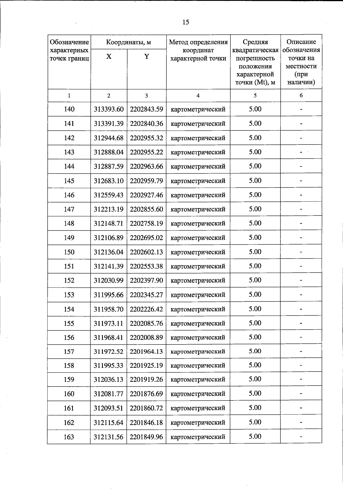
"Об особо охраняемой природной территории регионального значения – государственном природном заказнике "Сосновый бор у д. Горощино по берегам рек Осуга и Таложенка"
Номер опубликования: 6900202411280013
Дата опубликования: 28.11.2024
Страница №15 из 18:
Увеличить