Официальное опубликование правовых актов
ОФИЦИАЛЬНОЕ ОПУБЛИКОВАНИЕ
Постановление Правительства Тверской области от 14.10.2024 № 445-пп
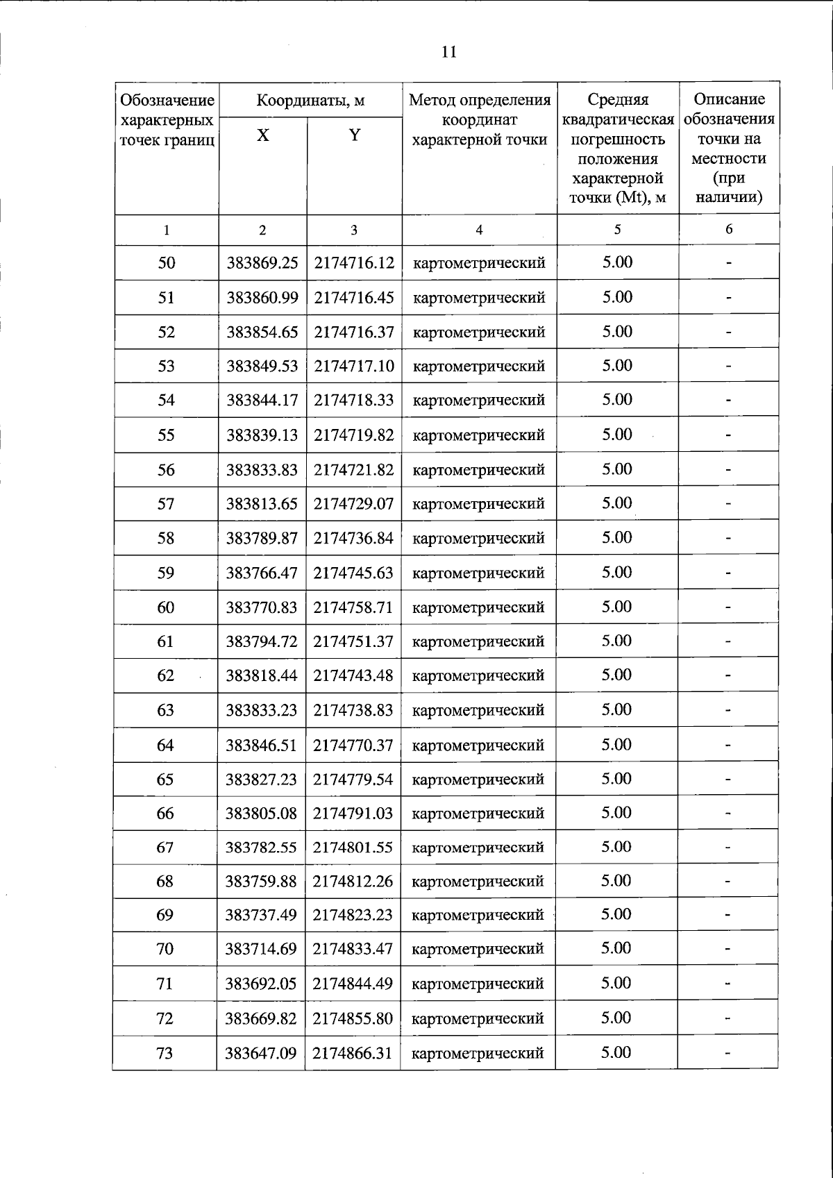
"Об особо охраняемой природной территории регионального значения – государственном природном заказнике "Болото у с. Коломно"
Номер опубликования: 6900202410150011
Дата опубликования: 15.10.2024
Страница №11 из 24:
Увеличить