Постановление Правительства Тверской области от 14.10.2024 № 448-пп
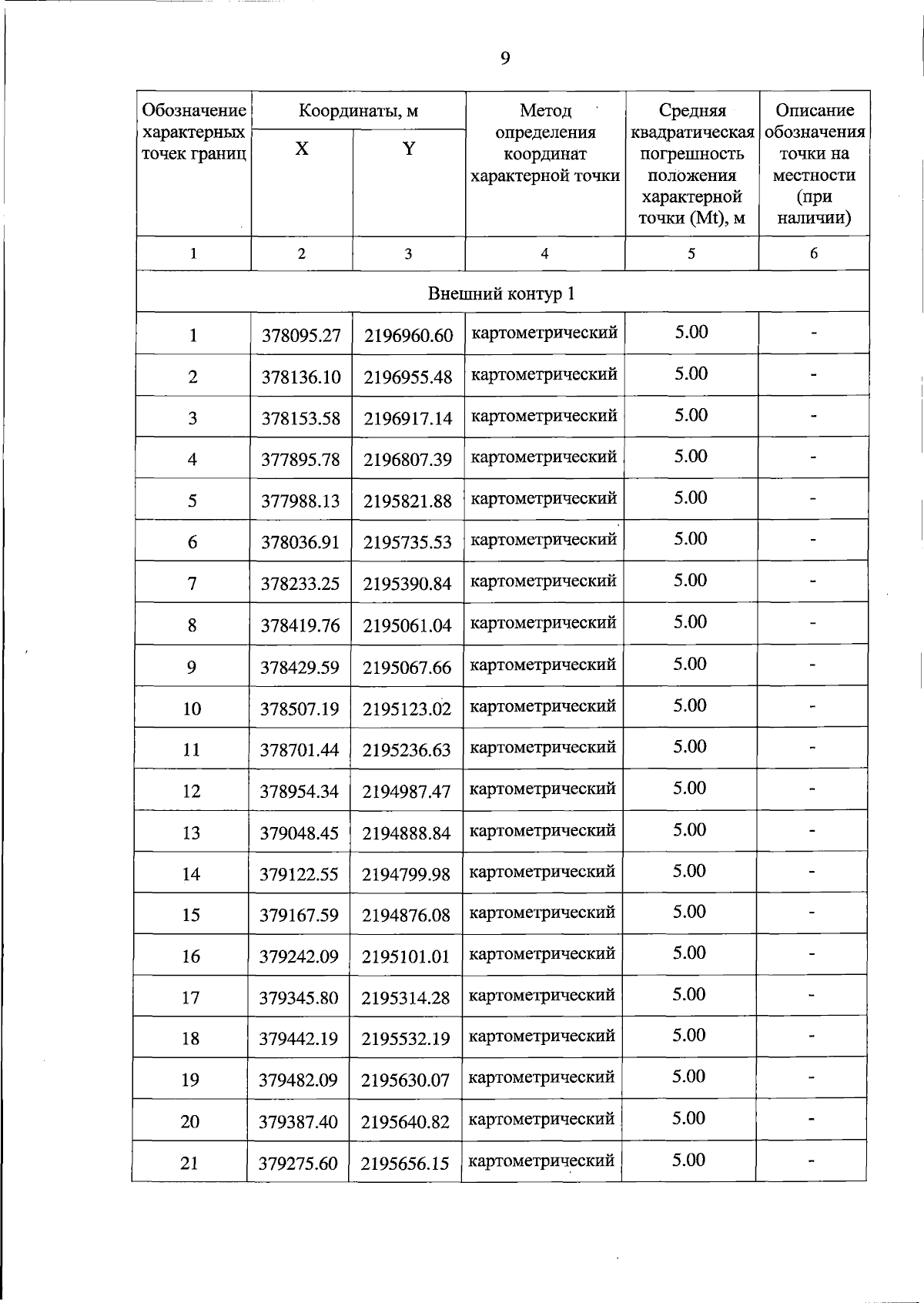
"Об особо охраняемой природной территории регионального значения – государственном природном заказнике "Болото у озер Шепелькино, Кричино и Щучье"
"Об особо охраняемой природной территории регионального значения – государственном природном заказнике "Болото у озер Шепелькино, Кричино и Щучье"
Номер опубликования: 6900202410150003
Дата опубликования:
15.10.2024
