Официальное опубликование правовых актов
ОФИЦИАЛЬНОЕ ОПУБЛИКОВАНИЕ
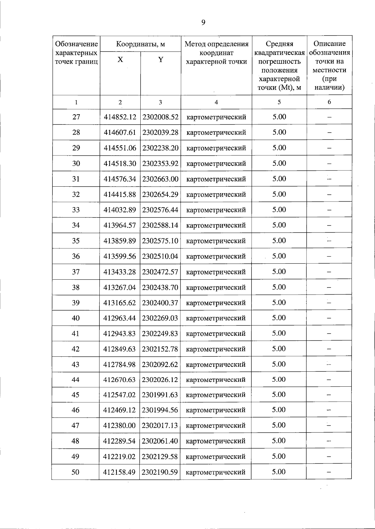
Постановление Правительства Тверской области от 02.08.2024 № 368-пп
"Об особо охраняемой природной территории регионального значения – государственном природном заказнике "Казенный"
Номер опубликования: 6900202408050006
Дата опубликования: 05.08.2024
Страница №9 из 22:
Увеличить