Официальное опубликование правовых актов
ОФИЦИАЛЬНОЕ ОПУБЛИКОВАНИЕ
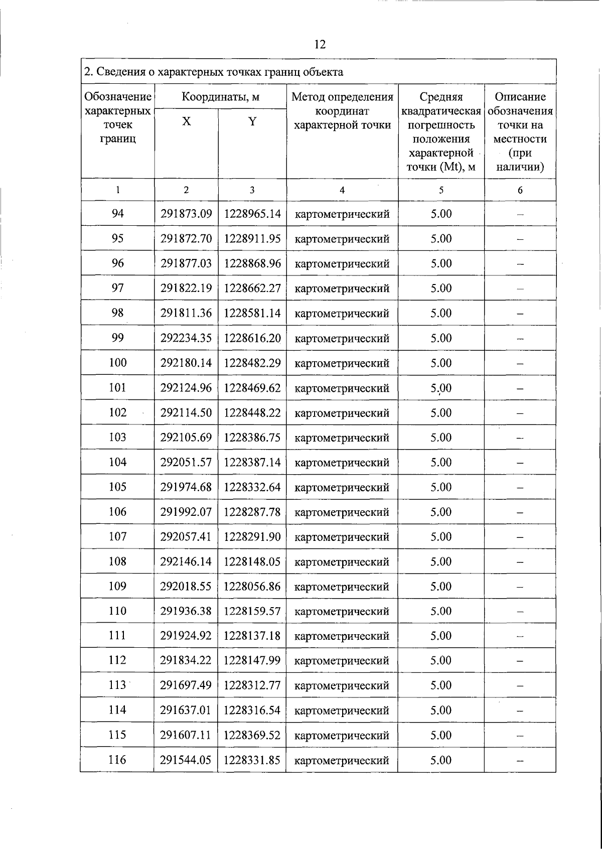
Постановление Правительства Тверской области от 26.04.2024 № 178-пп
"Об утверждении Положения об особо охраняемой природной территории регионального значения – государственном природном заказнике "Болото Зимняк"
Номер опубликования: 6900202404270032
Дата опубликования: 27.04.2024
Страница №12 из 19:
Увеличить