Официальное опубликование правовых актов
ОФИЦИАЛЬНОЕ ОПУБЛИКОВАНИЕ
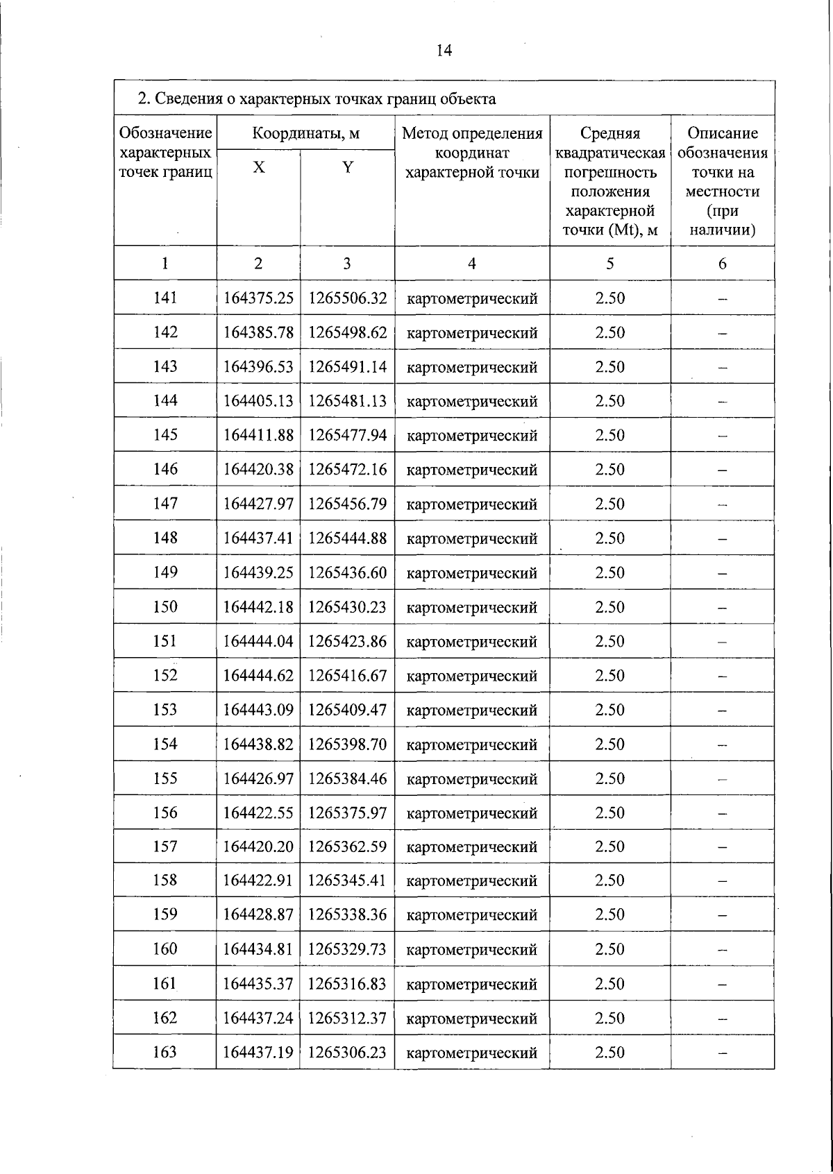
Постановление Правительства Тверской области от 26.04.2024 № 171-пп
"Об особо охраняемой природной территории регионального значения – памятнике природы "Озеро Красногородское"
Номер опубликования: 6900202404270017
Дата опубликования: 27.04.2024
Страница №14 из 23:
Увеличить