Официальное опубликование правовых актов
ОФИЦИАЛЬНОЕ ОПУБЛИКОВАНИЕ
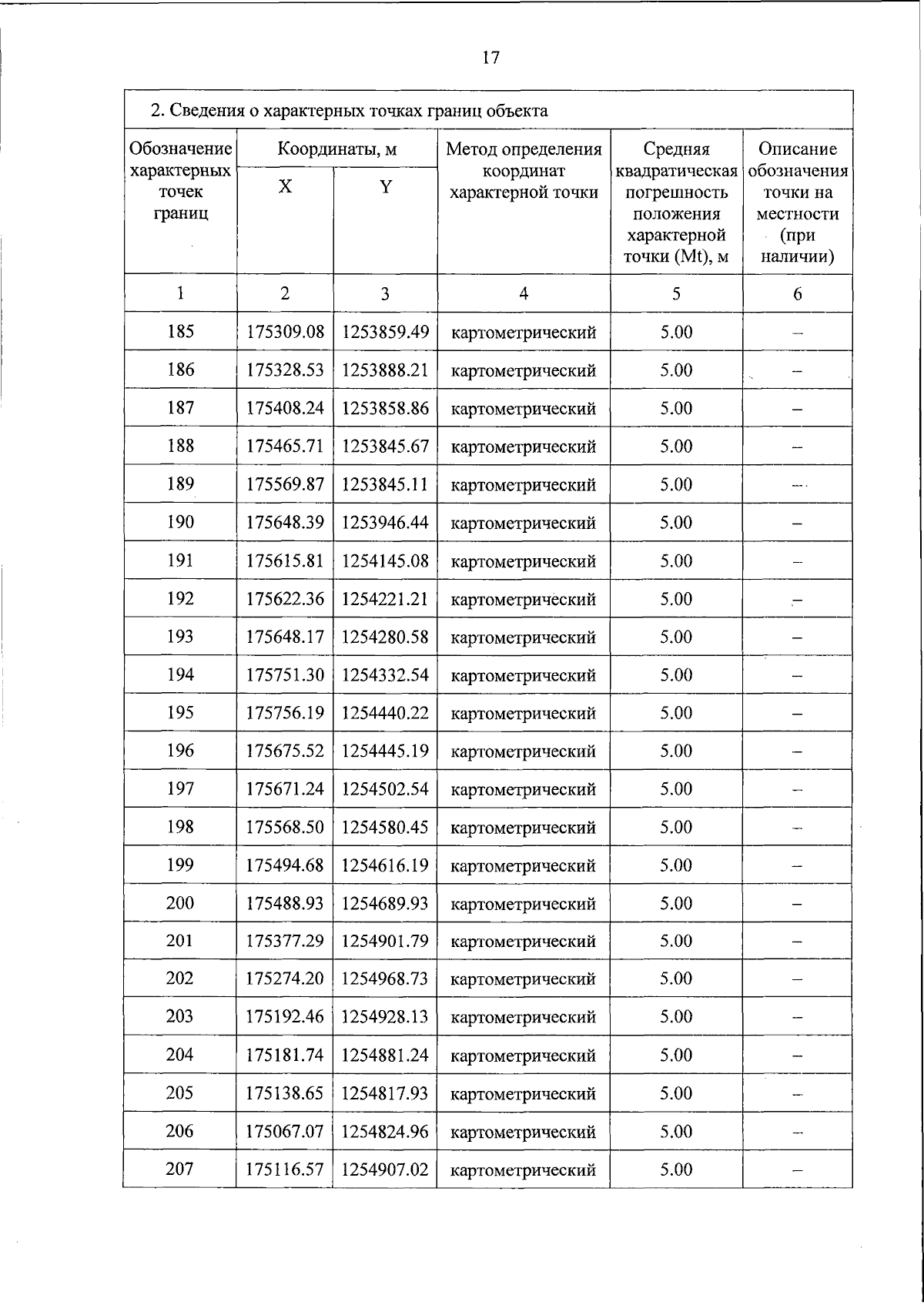
Постановление Правительства Тверской области от 26.04.2024 № 173-пп
"Об утверждении Положения об особо охраняемой природной территории регионального значения – государственном природном заказнике "Болото Шейкинский Мох"
Номер опубликования: 6900202404270016
Дата опубликования: 27.04.2024
Страница №17 из 25:
Увеличить