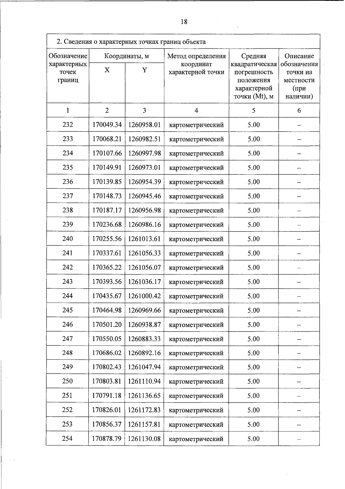
Постановление Правительства Тверской области от 26.04.2024 № 174-пп
"Об утверждении Положения об особо охраняемой природной территории регионального значения – государственном природном заказнике "Болото Сосенский Мох"
"Об утверждении Положения об особо охраняемой природной территории регионального значения – государственном природном заказнике "Болото Сосенский Мох"
Номер опубликования: 6900202404270014
Дата опубликования:
27.04.2024
