Официальное опубликование правовых актов
ОФИЦИАЛЬНОЕ ОПУБЛИКОВАНИЕ
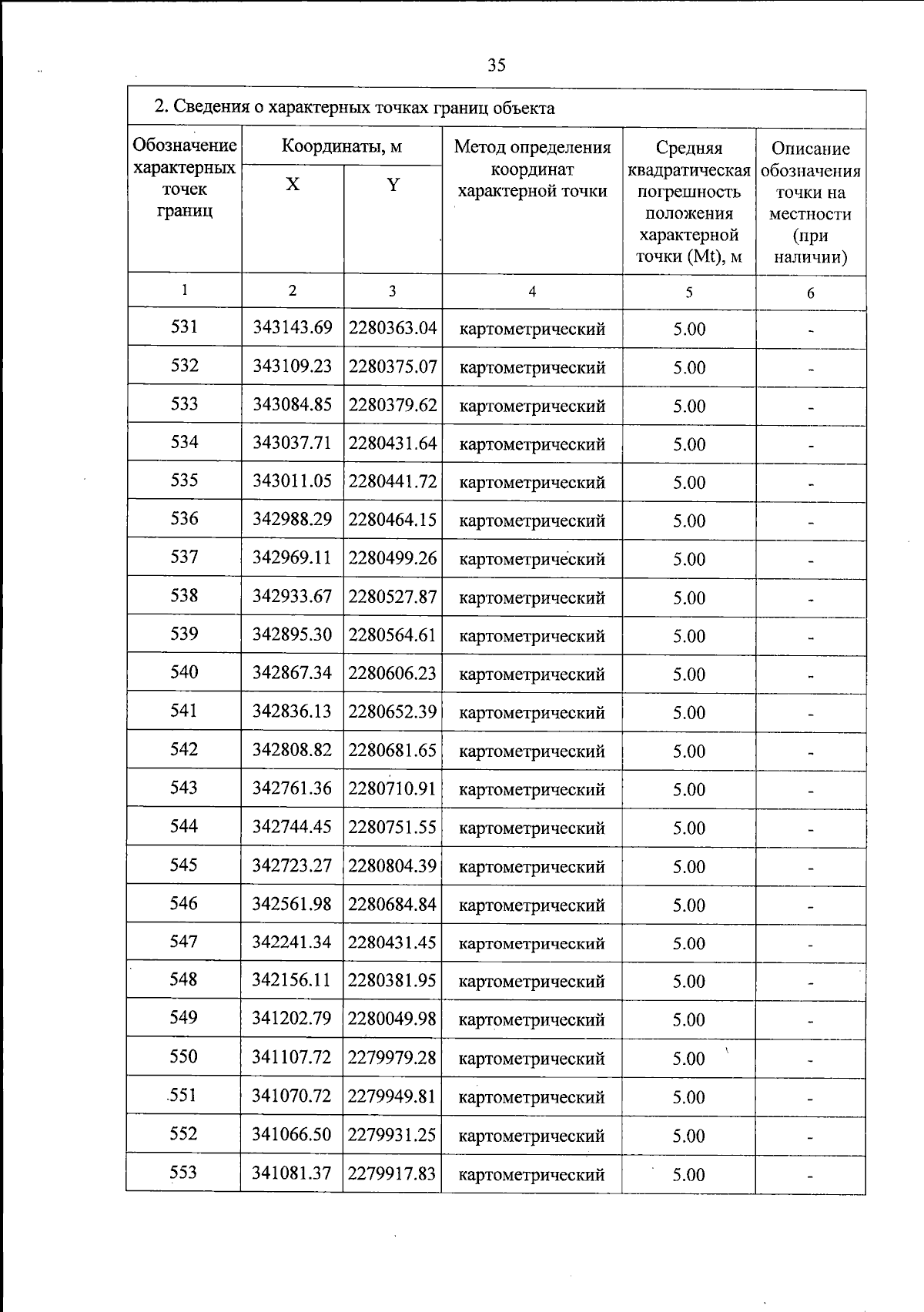
Постановление Правительства Тверской области от 09.02.2024 № 47-пп
"Об утверждении Положения об особо охраняемой природной территории регионального значения – государственном природном заказнике "Рамешковский государственный общевидовой заказник"
Номер опубликования: 6900202402120002
Дата опубликования: 12.02.2024
Страница №35 из 191:
Увеличить