Официальное опубликование правовых актов
ОФИЦИАЛЬНОЕ ОПУБЛИКОВАНИЕ
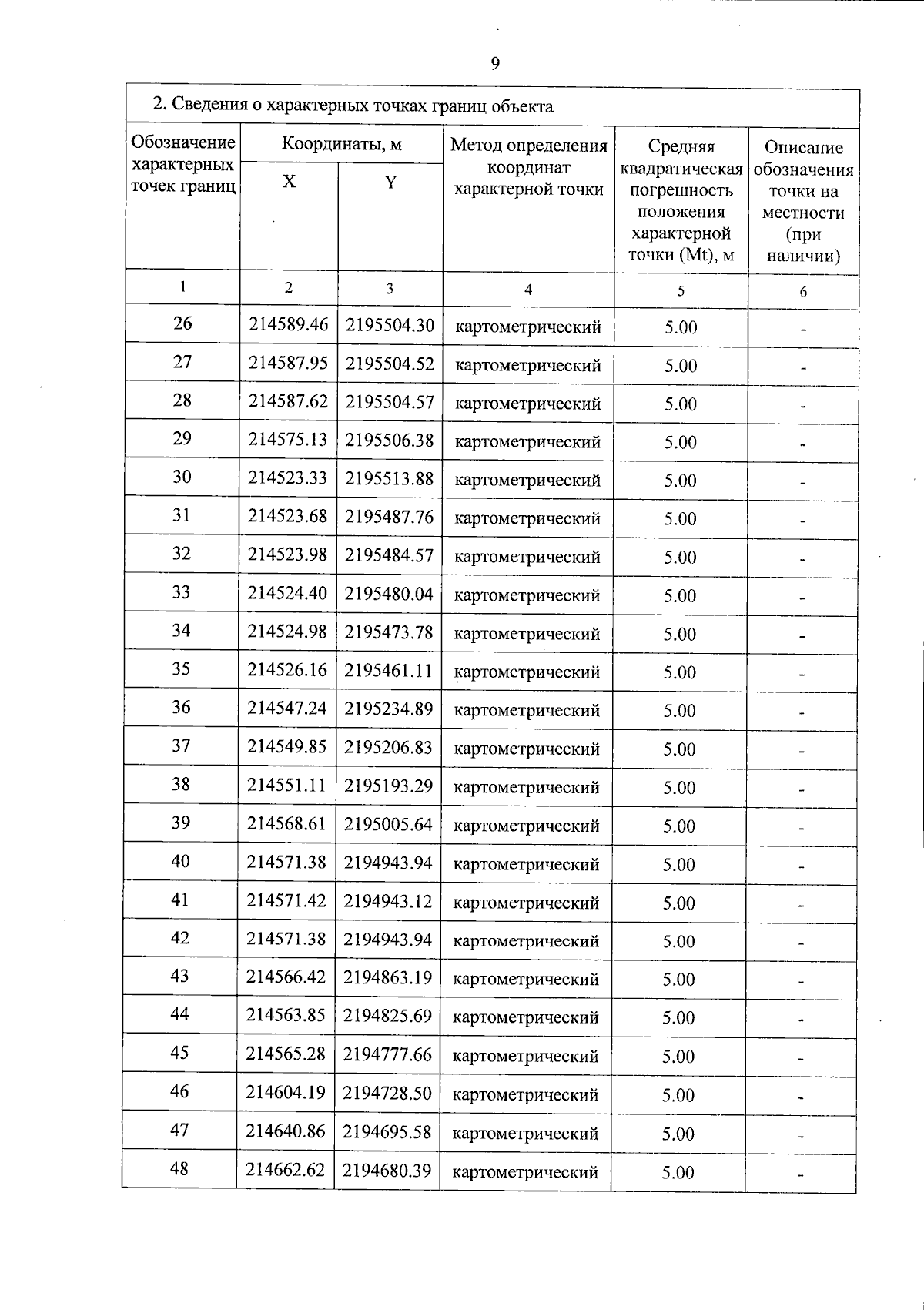
Постановление Правительства Тверской области от 15.01.2024 № 10-пп
"Об утверждении Паспорта особо охраняемой природной территории регионального значения – памятника природы "Парк Полустова гора"
Номер опубликования: 6900202401150006
Дата опубликования: 15.01.2024
Страница №9 из 12:
Увеличить