Официальное опубликование правовых актов
ОФИЦИАЛЬНОЕ ОПУБЛИКОВАНИЕ
Постановление Правительства Тверской области от 15.01.2024 № 13-пп
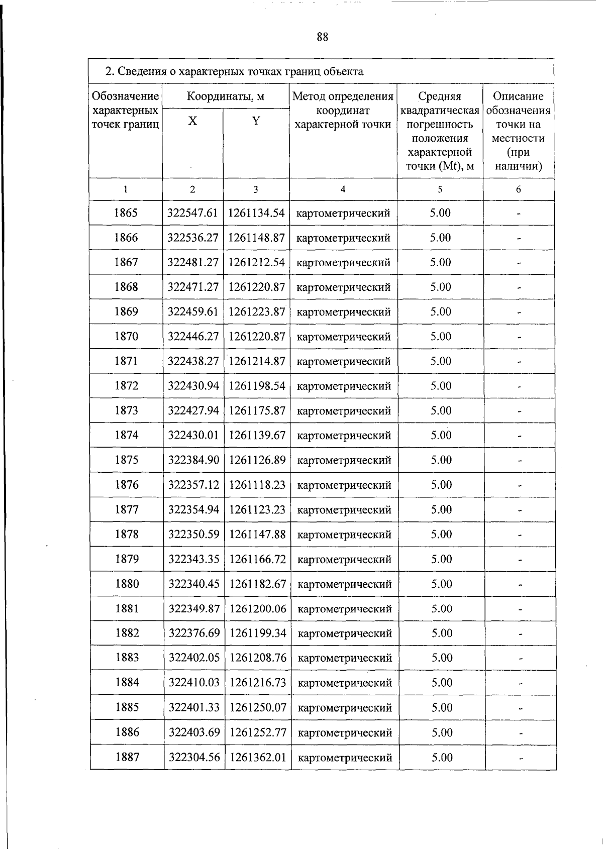
"Об утверждении Паспорта особо охраняемой природной территории регионального значения – памятника природы "Озеро Стерж"
Номер опубликования: 6900202401150003
Дата опубликования: 15.01.2024
Страница №88 из 123:
Увеличить