Постановление Правительства Тверской области от 20.10.2023 № 439-пп
"Об утверждении Положения об особо охраняемой природной территории регионального значения – государственном природном заказнике "Система озер Б. Щучье, Мошное, Боровое. Гнездовья скопы"
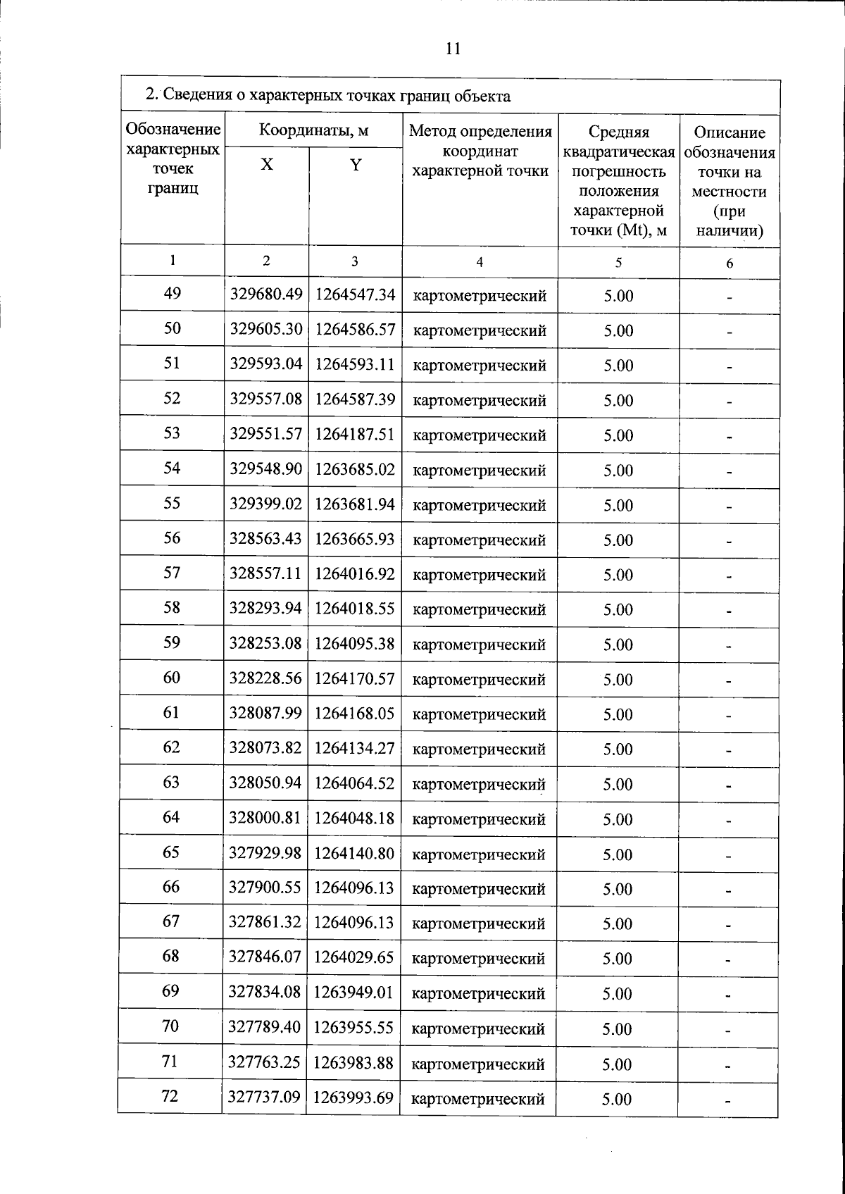
"Об утверждении Положения об особо охраняемой природной территории регионального значения – государственном природном заказнике "Система озер Б. Щучье, Мошное, Боровое. Гнездовья скопы"
Номер опубликования: 6900202310240009
Дата опубликования:
24.10.2023
