Официальное опубликование правовых актов
ОФИЦИАЛЬНОЕ ОПУБЛИКОВАНИЕ
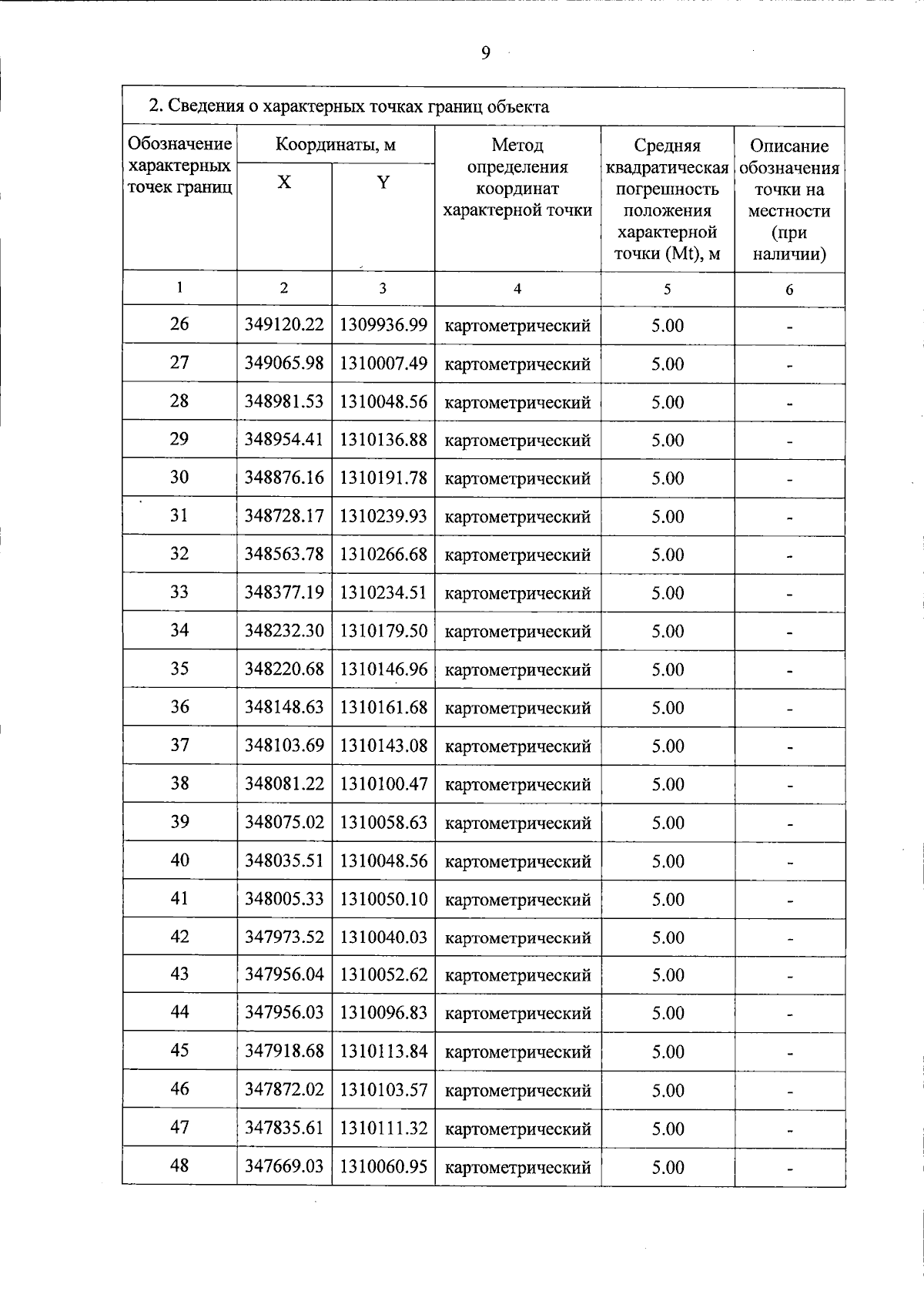
Постановление Правительства Тверской области от 20.10.2023 № 440-пп
"Об утверждении Паспорта особо охраняемой природной территории регионального значения – памятника природы "Озеро Каменное"
Номер опубликования: 6900202310240005
Дата опубликования: 24.10.2023
Страница №9 из 14:
Увеличить