Официальное опубликование правовых актов
ОФИЦИАЛЬНОЕ ОПУБЛИКОВАНИЕ
Постановление Правительства Тверской области от 20.10.2023 № 440-пп
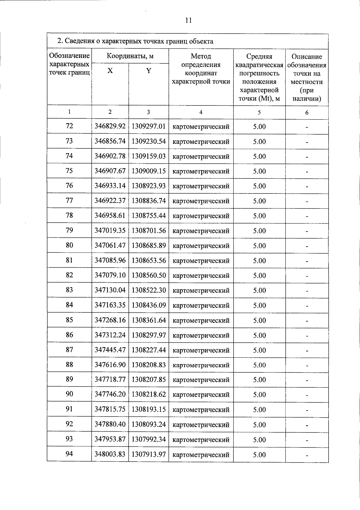
"Об утверждении Паспорта особо охраняемой природной территории регионального значения – памятника природы "Озеро Каменное"
Номер опубликования: 6900202310240005
Дата опубликования: 24.10.2023
Страница №11 из 14:
Увеличить