Официальное опубликование правовых актов
ОФИЦИАЛЬНОЕ ОПУБЛИКОВАНИЕ
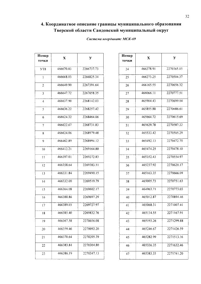
Закон Тверской области от 23.04.2020 № 21-ЗО
"О преобразовании муниципальных образований, входящих в состав территории муниципального образования Тверской области Сандовский муниципальный район, путем объединения поселений и создании вновь образованного муниципального образования с наделением его статусом муниципального округа и внесении изменений в отдельные законы Тверской области"
Номер опубликования: 6900202004240005
Дата опубликования: 24.04.2020
Страница №32 из 112:
Увеличить