Постановление Правительства Тверской области от 10.04.2020 № 164-пп
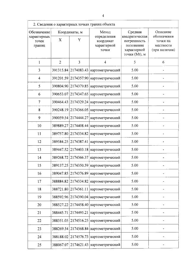
"Об утверждении графического описания местоположения границ особо охраняемой природной территории регионального значения - памятника природы "Озеро Бельское и лесные массивы вокруг него"
"Об утверждении графического описания местоположения границ особо охраняемой природной территории регионального значения - памятника природы "Озеро Бельское и лесные массивы вокруг него"
Номер опубликования: 6900202004130029
Дата опубликования:
13.04.2020
