Официальное опубликование правовых актов
ОФИЦИАЛЬНОЕ ОПУБЛИКОВАНИЕ
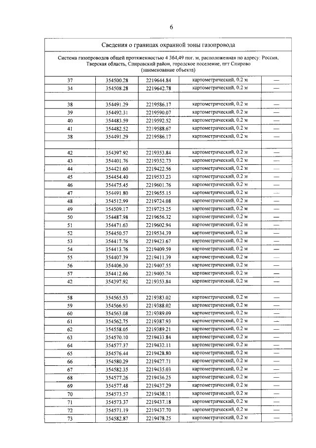
Постановление Правительства Тверской области от 10.04.2020 № 177-пп
"Об установлении охранной зоны газопровода"
Номер опубликования: 6900202004130021
Дата опубликования: 13.04.2020
Страница №6 из 35:
Увеличить